Identification
Name |
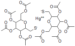
Bis(2,6-anhydro-1-thio-glycero-manno-heptitol 1,3,4,5-tetraacetate)mercury(II) |
Synonyms |
Mercuric [3,4,5-Triacetoxy-6-(Acetoxymethyl)Tetrahydropyran-2-Yl]Methanethiolate; Mercuric [3,4,5-Triacetoxy-6-(Acetoxymethyl)-2-Tetrahydropyranyl]Methanethiolate; Bis-2,6-Atgmhm |
|
Molecular Structure |
 |
Molecular Formula |
C30H42HgO18S2 |
Molecular Weight |
955.36 |
CAS Registry Number |
110913-60-5 |
SMILES |
C(OC(=O)C)C1OC(C(OC(=O)C)C(OC(=O)C)C1OC(=O)C)C[S-].C(OC(=O)C)C2OC(C(OC(=O)C)C(OC(=O)C)C2OC(=O)C)C[S-].[Hg++] |
InChI |
1S/2C15H22O9S.Hg/c2*1-7(16)20-5-11-13(21-8(2)17)15(23-10(4)19)14(22-9(3)18)12(6-25)24-11;/h2*11-15,25H,5-6H2,1-4H3;/q;;+2/p-2 |
InChIKey |
FORSGEYNZQWYKV-UHFFFAOYSA-L |
|