Identification
Name |
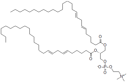
1,2-Di-6,9-Hexacosadienoylphosphatidylcholine |
Synonyms |
[(2R)-2,3-Bis[[(6E,9E)-Hexacosa-6,9-Dienoyl]Oxy]Propyl] 2-Trimethylammonioethyl Phosphate; [(2R)-2,3-Bis[(6E,9E)-1-Oxohexacosa-6,9-Dienoxy]Propyl] 2-Trimethylammonioethyl Phosphate; 1,2-Di-6,9-Hexacosadienoylphosphatidylcholine |
|
Molecular Structure |
 |
Molecular Formula |
C60H112NO8P |
Molecular Weight |
1006.52 |
CAS Registry Number |
117994-73-7 |
SMILES |
[C@H](OC(=O)CCCC\C=C\C\C=C\CCCCCCCCCCCCCCCC)(CO[P](OCC[N+](C)(C)C)([O-])=O)COC(=O)CCCC\C=C\C\C=C\CCCCCCCCCCCCCCCC |
InChI |
1S/C60H112NO8P/c1-6-8-10-12-14-16-18-20-22-24-26-28-30-32-34-36-38-40-42-44-46-48-50-52-59(62)66-56-58(57-68-70(64,65)67-55-54-61(3,4)5)69-60(63)53-51-49-47-45-43-41-39-37-35-33-31-29-27-25-23-21-19-17-15-13-11-9-7-2/h36-39,42-45,58H,6-35,40-41,46-57H2,1-5H3/b38-36+,39-37+,44-42+,45-43+/t58-/m1/s1 |
InChIKey |
HTIOLJIYGLMFRC-BDRZZDKZSA-N |
|