Online Database of Chemicals from Around the World

Linaclotide acetate
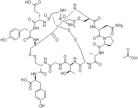
[CAS# 851199-60-5]

List of Suppliers
Shenzhen JYMed Technology Co., Ltd. China Inquire
www.jymedtech.com
+86 (755) 2661-2112
+86 (755) 8635-0488
jymed@jymedtech.com
QQ Chat
Chemical manufacturer since 2009
chemBlink Standard supplier since 2012

Identification
ClassificationAPI >> Digestive system medication
NameLinaclotide acetate
SynonymsMM 416775
Molecular StructureCAS # 851199-60-5, Linaclotide acetate
Molecular FormulaC59H79N15O21S6.C2H4O2
Molecular Weight1586.80
CAS Registry Number851199-60-5
Market Analysis Reports
List of Reports Available for Linaclotide acetate
Related Products
(S)-(-)-1,2-Lim...  (R)-(+)-Limonen...  Limonen-10-ol  Limonexic acid  Limonin  Limonin 17-beta...  Limonol  Limontar  Limptar  Linaclotide  Linadryl  Linagliptin-d4  Linagliptin  Linagliptin Dim...  Linagliptine Ch...  Linagliptin Imp...  Linagliptin Imp...  Linagliptin Imp...  Linagliptin Imp...  Linagliptin Imp...