Online Database of Chemicals from Around the World

(4R)-N-[1-[[3-Hydroxy-4-Methyl-1-[[2-Methyl-1-[[4-Methyl-1-[[4-Methyl-1-[[2-Methyl-1-[[2-Methyl-1-[[3-(1-Methylaminopropan-2-Ylamino)-3-Oxopropyl]Amino]-1-Oxopropan-2-Yl]Amino]-1-Oxopropan-2-Yl]Amino]-1-Oxopentan-2-Yl]Amino]-1-Oxopentan-2-Yl]Amino]-1-Oxopropan-2-Yl]Amino]-1-Oxopentan-2-Yl]Amino]-4-Methyl-1-Oxopentan-2-Yl]-4-Methyl-1-[(E,4S)-4-Methylhex-2-Enoyl]Pyrrolidine-2-Carboxamide
[CAS# 100334-47-2]

Suppliers
CAS#: 100334-47-2
Product: (4R)-N-[1-[[3-Hydroxy-4-Methyl-1-[[2-Methyl-1-[[4-Methyl-1-[[4-Methyl-1-[[2-Methyl-1-[[2-Methyl-1-[[3-(1-Methylaminopropan-2-Ylamino)-3-Oxopropyl]Amino]-1-Oxopropan-2-Yl]Amino]-1-Oxopropan-2-Yl]Amino]-1-Oxopentan-2-Yl]Amino]-1-Oxopentan-2-Yl]Amino]-1-Oxopropan-2-Yl]Amino]-1-Oxopentan-2-Yl]Amino]-4-Methyl-1-Oxopentan-2-Yl]-4-Methyl-1-[(E,4S)-4-Methylhex-2-Enoyl]Pyrrolidine-2-Carboxamide
No suppilers available for the product.
Identification
Name (4R)-N-[1-[[3-Hydroxy-4-Methyl-1-[[2-Methyl-1-[[4-Methyl-1-[[4-Methyl-1-[[2-Methyl-1-[[2-Methyl-1-[[3-(1-Methylaminopropan-2-Ylamino)-3-Oxopropyl]Amino]-1-Oxopropan-2-Yl]Amino]-1-Oxopropan-2-Yl]Amino]-1-Oxopentan-2-Yl]Amino]-1-Oxopentan-2-Yl]Amino]-1-Oxopropan-2-Yl]Amino]-1-Oxopentan-2-Yl]Amino]-4-Methyl-1-Oxopentan-2-Yl]-4-Methyl-1-[(E,4S)-4-Methylhex-2-Enoyl]Pyrrolidine-2-Carboxamide
Synonyms (4R)-N-[1-[[1-[[2-[[1-[[1-[[2-[[1,1-Dimethyl-2-[[3-[(1-Methyl-2-Methylamino-Ethyl)Amino]-3-Oxo-Propyl]Amino]-2-Oxo-Ethyl]Amino]-1,1-Dimethyl-2-Oxo-Ethyl]Carbamoyl]-3-Methyl-Butyl]Carbamoyl]-3-Methyl-Butyl]Amino]-1,1-Dimethyl-2-Oxo-Ethyl]Carbamoyl]-2-Hydroxy-3-Methyl-Butyl]Carbamoyl]-3-Methyl-Butyl]-4-Methyl-1-[(E,4S)-4-Methylhex-2-Enoyl]Pyrrolidine-2-Carboxamide; (4R)-N-[1-[[[1-[[[2-[[1-[[[1-[[[2-[[1,1-Dimethyl-2-[[3-[(1-Methyl-2-Methylaminoethyl)Amino]-3-Oxopropyl]Amino]-2-Oxoethyl]Amino]-1,1-Dimethyl-2-Oxoethyl]Amino]-Oxomethyl]-3-Methylbutyl]Amino]-Oxomethyl]-3-Methylbutyl]Amino]-1,1-Dimethyl-2-Oxoethyl]Amino]-Oxomethyl]-2-Hydroxy-3-Methylbutyl]Amino]-Oxomethyl]-3-Methylbutyl]-4-Methyl-1-[(E,4S)-4-Methyl-1-Oxohex-2-Enyl]-2-Pyrrolidinecarboxamide; (4R)-N-[1-[[2-Hydroxy-1-[[2-Keto-2-[[1-[[1-[[2-Keto-2-[[2-Keto-2-[[3-Keto-3-[(1-Methyl-2-Methylamino-Ethyl)Amino]Propyl]Amino]-1,1-Dimethyl-Ethyl]Amino]-1,1-Dimethyl-Ethyl]Carbamoyl]-3-Methyl-Butyl]Carbamoyl]-3-Methyl-Butyl]Amino]-1,1-Dimethyl-Ethyl]Carbamoyl]-3-Methyl-Butyl]Carbamoyl]-3-Methyl-Butyl]-4-Methyl-1-[(E,4S)-4-Methylhex-2-Enoyl]Pyrrolidine-2-Carboxamide
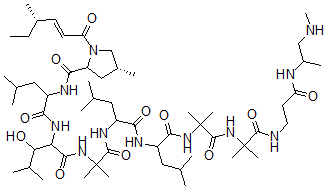
Molecular Structure CAS#: 100334-47-2, (4R)-N-[1-[[3-Hydroxy-4-Methyl-1-[[2-Methyl-1-[[4-Methyl-1-[[4-Methyl-1-[[2-Methyl-1-[[2-Methyl-1-[[3-(1-Methylaminopropan-2-Ylamino)-3-Oxopropyl]Amino]-1-Oxopropan-2-Yl]Amino]-1-Oxopropan-2-Yl]Amino]-1-Oxopentan-2-Yl]Amino]-1-Oxopentan-2-Yl]Amino]-1-Oxopropan-2-Yl]Amino]-1-Oxopentan-2-Yl]Amino]-4-Methyl-1-Oxopentan-2-Yl]-4-Methyl-1-[(E,4S)-4-Methylhex-2-Enoyl]Pyrrolidine-2-Carboxamide
Molecular Formula C56H101N11O11
Molecular Weight 1104.48
CAS Registry Number 100334-47-2
SMILES [C@H]1(CC(N(C1)C(=O)\C=C\[C@H](CC)C)C(=O)NC(C(=O)NC(C(=O)NC(C(=O)NC(C(=O)NC(C(=O)NC(C(=O)NC(C(=O)NCCC(=O)NC(CNC)C)(C)C)(C)C)CC(C)C)CC(C)C)(C)C)C(O)C(C)C)CC(C)C)C
InChI 1S/C56H101N11O11/c1-20-35(10)21-22-43(69)67-30-36(11)28-41(67)49(74)61-38(25-31(2)3)47(72)63-44(45(70)34(8)9)50(75)65-55(15,16)52(77)62-39(26-32(4)5)46(71)60-40(27-33(6)7)48(73)64-56(17,18)53(78)66-54(13,14)51(76)58-24-23-42(68)59-37(12)29-57-19/h21-22,31-41,44-45,57,70H,20,23-30H2,1-19H3,(H,58,76)(H,59,68)(H,60,71)(H,61,74)(H,62,77)(H,63,72)(H,64,73)(H,65,75)(H,66,78)/b22-21+/t35-,36+,37?,38?,39?,40?,41?,44?,45?/m0/s1
InChIKey RDUJTYZLXJPVKP-YDZNBPEVSA-N
Properties
Density 1.106g/cm3 (Cal.)
Boiling point 1323.837°C at 760 mmHg (Cal.)
Flash point 754.429°C (Cal.)
Market Analysis Reports
List of Reports Available for (4R)-N-[1-[[3-Hydroxy-4-Methyl-1-[[2-Methyl-1-[[4-Methyl-1-[[4-Methyl-1-[[2-Methyl-1-[[2-Methyl-1-[[3-(1-Methylaminopropan-2-Ylamino)-3-Oxopropyl]Amino]-1-Oxopropan-2-Yl]Amino]-1-Oxopropan-2-Yl]Amino]-1-Oxopentan-2-Yl]Amino]-1-Oxopentan-2-Yl]Amino]-1-Oxopropan-2-Yl]Amino]-1-Oxopentan-2-Yl]Amino]-4-Methyl-1-Oxopentan-2-Yl]-4-Methyl-1-[(E,4S)-4-Methylhex-2-Enoyl]Pyrrolidine-2-Carboxamide
Related Products
4-Methyl-1,3-Dithiolan-2-Imine Hydrochlo...  2,4-Dimethyl-2,5-Dihydrothiophene 1,1-Di...  Pyridin-4-Amine Hydrochloride  (E)-1-Methoxybut-1-Ene  Thiopyran-4-One  Bromoacetylcarnitine  (4S,5S,6S,7S,8S)-5-Acetamido-4,6,8-Trihy...  4-Amino-2-[4,6-Diamino-3-[6-(Aminomethyl...  4-Amino-2-[4,6-Diamino-3-[3-Amino-6-(Ami...  Benzenediazonium Chloride  N-[(E,2S,3S)-1-[(2R,3R,4R,5S,6R)-5-[(2S,...  2-Chloro-N-(2-Ethoxyethyl)-N-(2-Methoxyp...  2-Bromo-3-Phenyl-4-[(Phenylmethylamino)M...  Dimethyl-[2-(6,7,8,9-Tetrahydro-[1]Benzo...  Dimethyl-[3-(6,7,8,9-Tetrahydro-[1]Benzo...