Online Database of Chemicals from Around the World

1-(N-Methyl-D-alanine)-5-L-argininemicrocystin LA
[CAS# 129678-94-0]

Suppliers
CAS#: 129678-94-0
Product: 1-(N-Methyl-D-alanine)-5-L-argininemicrocystin LA
No suppilers available for the product.
Identification
Name 1-(N-Methyl-D-alanine)-5-L-argininemicrocystin LA
Synonyms 15-(3-Guanidinopropyl)-8-Isobutyl-18-[(1E,3E)-6-Methoxy-3,5-Dimethyl-7-Phenyl-Hepta-1,3-Dienyl]-1,2,5,12,19-Pentamethyl-3,6,9,13,16,20,25-Heptaoxo-1,4,7,10,14,17,21-Heptazacyclopentacosane-11,22-Dicarboxylic Acid; 15-(3-Guanidinopropyl)-8-Isobutyl-18-[(1E,3E)-6-Methoxy-3,5-Dimethyl-7-Phenylhepta-1,3-Dienyl]-1,2,5,12,19-Pentamethyl-3,6,9,13,16,20,25-Heptaoxo-1,4,7,10,14,17,21-Heptazacyclopentacosane-11,22-Dicarboxylic Acid; 15-(3-Guanidinopropyl)-8-Isobutyl-3,6,9,13,16,20,25-Heptaketo-18-[(1E,3E)-6-Methoxy-3,5-Dimethyl-7-Phenyl-Hepta-1,3-Dienyl]-1,2,5,12,19-Pentamethyl-1,4,7,10,14,17,21-Heptazacyclopentacosane-11,22-Dicarboxylic Acid
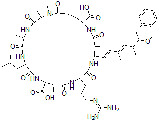
Molecular Structure CAS#: 129678-94-0, 1-(N-Methyl-D-alanine)-5-L-argininemicrocystin LA
Molecular Formula C49H76N10O12
Molecular Weight 997.20
CAS Registry Number 129678-94-0
SMILES C2=C(CC(OC)C(/C=C(/C=C/C1NC(=O)C(NC(=O)C(C(NC(=O)C(NC(=O)C(NC(=O)C(N(C(=O)CCC(NC(=O)C1C)C(O)=O)C)C)C)CC(C)C)C(O)=O)C)CCCN=C(N)N)C)C)C=CC=C2
InChI 1S/C49H76N10O12/c1-26(2)23-37-46(66)58-40(48(69)70)30(6)42(62)55-35(17-14-22-52-49(50)51)45(65)54-34(19-18-27(3)24-28(4)38(71-10)25-33-15-12-11-13-16-33)29(5)41(61)56-36(47(67)68)20-21-39(60)59(9)32(8)44(64)53-31(7)43(63)57-37/h11-13,15-16,18-19,24,26,28-32,34-38,40H,14,17,20-23,25H2,1-10H3,(H,53,64)(H,54,65)(H,55,62)(H,56,61)(H,57,63)(H,58,66)(H,67,68)(H,69,70)(H4,50,51,52)/b19-18+,27-24+
InChIKey XVXFRYMCSIZPFI-ORZJCNCZSA-N
Properties
Density 1.302g/cm3 (Cal.)
Market Analysis Reports
List of Reports Available for 1-(N-Methyl-D-alanine)-5-L-argininemicrocystin LA
Related Products
Dihydro-1,4-Ethano-1H,3H-Thieno(3,4-c)Th...  Dihydro-1,4-dimethyl-1,4-Ethano-1H,3H-th...  Dihydro-7-butyl-1,4-Ethano-1H,3H-thieno(...  Dihydro-1,4-Ethano-1H,3H-Furo(3,4-c)Fura...  Dihydro-1,4-dimethyl-1,4-Ethano-1H,3H-fu...  Tetrahydro-6-Thioxo-1,4-Ethano-1H,3H-Thi...  Tetrahydro-6-Thioxo-1,4-Ethano-1H,3H-Fur...  Dihydro-1,4-Ethano-1H,3H-Furo(3,4-c)Fura...  N,N-Bis[Bis(Phenoxy)Phosphanyl]Aniline  2-[4-[2-[[(2S)-2-Hydroxy-3-(Phenoxy)Prop...  3,6,6-Trimethyl-4-Oxo-5,7-Dihydro-1H-Ind...  2,3-Bis[[(8E,11E,14E)-Icosa-8,11,14-Trie...  2-Methyl-Benzo(lmn)(3,8)Phenanthrolinium  [4-[2-(Isoquinolin-5-Ylsulfonylamino)-3-...  4-[5-[(3R)-Dithiolan-3-Yl]Pentanoylamino...