Online Database of Chemicals from Around the World

[(2R)-1-[[(2S,3S,5R)-3-Azido-5-(5-Methyl-2,4-Dioxopyrimidin-1-Yl)Oxolan-2-Yl]Methoxy-Hydroxyphosphoryl]Oxy-3-Hexadecanoyloxypropan-2-Yl] (Z)-Octadec-9-Enoate
[CAS# 130466-13-6]

Suppliers
CAS#: 130466-13-6
Product: [(2R)-1-[[(2S,3S,5R)-3-Azido-5-(5-Methyl-2,4-Dioxopyrimidin-1-Yl)Oxolan-2-Yl]Methoxy-Hydroxyphosphoryl]Oxy-3-Hexadecanoyloxypropan-2-Yl] (Z)-Octadec-9-Enoate
No suppilers available for the product.
Identification
Name [(2R)-1-[[(2S,3S,5R)-3-Azido-5-(5-Methyl-2,4-Dioxopyrimidin-1-Yl)Oxolan-2-Yl]Methoxy-Hydroxyphosphoryl]Oxy-3-Hexadecanoyloxypropan-2-Yl] (Z)-Octadec-9-Enoate
Synonyms [(1R)-1-[[[(2S,3S,5R)-3-Azido-5-(5-Methyl-2,4-Dioxo-Pyrimidin-1-Yl)Tetrahydrofuran-2-Yl]Methoxy-Hydroxy-Phosphoryl]Oxymethyl]-2-Hexadecanoyloxy-Ethyl] (Z)-Octadec-9-Enoate; (Z)-Octadec-9-Enoic Acid [(1R)-1-[[[(2S,3S,5R)-3-Azido-5-(5-Methyl-2,4-Dioxo-1-Pyrimidinyl)-2-Tetrahydrofuranyl]Methoxy-Hydroxyphosphoryl]Oxymethyl]-2-(1-Oxohexadecoxy)Ethyl] Ester; (Z)-Octadec-9-Enoic Acid [(1R)-1-[[[(2S,3S,5R)-3-Azido-5-(2,4-Diketo-5-Methyl-Pyrimidin-1-Yl)Tetrahydrofuran-2-Yl]Methoxy-Hydroxy-Phosphoryl]Oxymethyl]-2-Hexadecanoyloxy-Ethyl] Ester
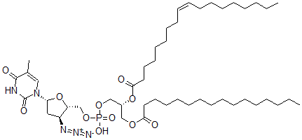
Molecular Structure CAS#: 130466-13-6, [(2R)-1-[[(2S,3S,5R)-3-Azido-5-(5-Methyl-2,4-Dioxopyrimidin-1-Yl)Oxolan-2-Yl]Methoxy-Hydroxyphosphoryl]Oxy-3-Hexadecanoyloxypropan-2-Yl] (Z)-Octadec-9-Enoate
Molecular Formula C47H82N5O11P
Molecular Weight 924.17
CAS Registry Number 130466-13-6
SMILES [C@@H]2(N1C(NC(C(=C1)C)=O)=O)O[C@H](CO[P](OC[C@H](OC(=O)CCCCCCC\C=C/CCCCCCCC)COC(=O)CCCCCCCCCCCCCCC)(=O)O)[C@H](C2)N=[N+]=[N-]
InChI 1S/C47H82N5O11P/c1-4-6-8-10-12-14-16-18-19-21-23-25-27-29-31-33-45(54)62-40(36-59-44(53)32-30-28-26-24-22-20-17-15-13-11-9-7-5-2)37-60-64(57,58)61-38-42-41(50-51-48)34-43(63-42)52-35-39(3)46(55)49-47(52)56/h18-19,35,40-43H,4-17,20-34,36-38H2,1-3H3,(H,57,58)(H,49,55,56)/b19-18-/t40-,41+,42-,43-/m1/s1
InChIKey GSUJZGMYSDIRCY-MGZBFPESSA-N
Market Analysis Reports
List of Reports Available for [(2R)-1-[[(2S,3S,5R)-3-Azido-5-(5-Methyl-2,4-Dioxopyrimidin-1-Yl)Oxolan-2-Yl]Methoxy-Hydroxyphosphoryl]Oxy-3-Hexadecanoyloxypropan-2-Yl] (Z)-Octadec-9-Enoate
Related Products
(Z)-6-[(1S,4S,5R,6S)-6-[[(4-Bromophenyl)...  5-Deoxy-D-Ribitol  [(2R,3R,4S,5R,6S)-4,5-Diacetyloxy-6-(5-A...  Tert-Butyl 3-(Methylsulfonyloxymethyl)-2...  4-Aminocatechol  Tert-Butyl N-[1-[(2S,6R)-6-Hydroxy-3-Oxo...  2-Cyclohexene-1-Carbonitrile  8-[4-(4-Fluorophenyl)-4-Oxobutyl]-3-(2-I...  1-(4-Isothiocyanato-2-Nitrophenyl)Imidaz...  N'-(2-Diethylaminoethyl)-2,3-Dihydro-1,4...  N'-(2-Morpholin-4-Ylethyl)-2,3-Dihydro-1...  (2S)-2-[[(2S)-6-Amino-2-[[(2S)-2-Amino-3...  3,3',5,5'-Tetrachloro-4,4'-Biphenyldiol  N-(2-Hydroxy-3-Piperidin-1-Ylpropoxy)Pyr...  2,2'-Diethyl-1,1'-biphenyl