Online Database of Chemicals from Around the World

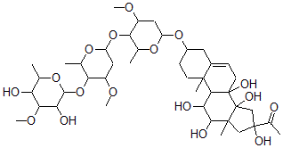
1-[3-[5-[5-(3,5-二羟基-4-甲氧基-6-甲基四氢吡喃-2-基)氧基-4-甲氧基-6-甲基四氢吡喃-2-基]氧基-4-甲氧基-6-甲基四氢吡喃-2-基]氧基-8,11,12,14,16-五羟基-10,13-二甲基-1,2,3,4,7,9,11,12,15,17-十氢环戊烯并[a]菲-16-基]乙酮
[CAS# 131889-89-9]

供应商
CAS#: 131889-89-9
产品: 1-[3-[5-[5-(3,5-二羟基-4-甲氧基-6-甲基四氢吡喃-2-基)氧基-4-甲氧基-6-甲基四氢吡喃-2-基]氧基-4-甲氧基-6-甲基四氢吡喃-2-基]氧基-8,11,12,14,16-五羟基-10,13-二甲基-1,2,3,4,7,9,11,12,15,17-十氢环戊烯并[a]菲-16-基]乙酮
暂时没有厂家供应该产品。
基本信息
产品名称 1-[3-[5-[5-(3,5-二羟基-4-甲氧基-6-甲基四氢吡喃-2-基)氧基-4-甲氧基-6-甲基四氢吡喃-2-基]氧基-4-甲氧基-6-甲基四氢吡喃-2-基]氧基-8,11,12,14,16-五羟基-10,13-二甲基-1,2,3,4,7,9,11,12,15,17-十氢环戊烯并[a]菲-16-基]乙酮
英文名 1-[3-[5-[5-(3,5-Dihydroxy-4-Methoxy-6-Methyloxan-2-Yl)Oxy-4-Methoxy-6-Methyloxan-2-Yl]Oxy-4-Methoxy-6-Methyloxan-2-Yl]Oxy-8,11,12,14,16-Pentahydroxy-10,13-Dimethyl-1,2,3,4,7,9,11,12,15,17-Decahydrocyclopenta[a]Phenanthren-16-Yl]Ethanone
别名 1-[3-[5-[5-(3,5-Dihydroxy-4-Methoxy-6-Methyl-Tetrahydropyran-2-Yl)Oxy-4-Methoxy-6-Methyl-Tetrahydropyran-2-Yl]Oxy-4-Methoxy-6-Methyl-Tetrahydropyran-2-Yl]Oxy-8,11,12,14,16-Pentahydroxy-10,13-Dimethyl-1,2,3,4,7,9,11,12,15,17-Decahydrocyclopenta[A]Phenanthren-16-Yl]Ethanone; 1-[3-[[5-[[5-[(3,5-Dihydroxy-4-Methoxy-6-Methyl-2-Tetrahydropyranyl)Oxy]-4-Methoxy-6-Methyl-2-Tetrahydropyranyl]Oxy]-4-Methoxy-6-Methyl-2-Tetrahydropyranyl]Oxy]-8,11,12,14,16-Pentahydroxy-10,13-Dimethyl-1,2,3,4,7,9,11,12,15,17-Decahydrocyclopenta[A]Phenanthren-16-Yl]Ethanone; 1-[3-[5-[5-(3,5-Dihydroxy-4-Methoxy-6-Methyl-Oxan-2-Yl)Oxy-4-Methoxy-6-Methyl-Oxan-2-Yl]Oxy-4-Methoxy-6-Methyl-Oxan-2-Yl]Oxy-8,11,12,14,16-Pentahydroxy-10,13-Dimethyl-1,2,3,4,7,9,11,12,15,17-Decahydrocyclopenta[A]Phenanthren-16-Yl]Ethanone
分子结构 CAS 登录号:131889-89-9, 1-[3-[5-[5-(3,5-二羟基-4-甲氧基-6-甲基四氢吡喃-2-基)氧基-4-甲氧基-6-甲基四氢吡喃-2-基]氧基-4-甲氧基-6-甲基四氢吡喃-2-基]氧基-8,11,12,14,16-五羟基-10,13-二甲基-1,2,3,4,7,9,11,12,15,17-十氢环戊烯并[a]菲-16-基]乙酮
分子式 C42H68O17
分子量 844.99
CAS 登录号 131889-89-9
分子行输入简码 SMILES CC67C(O)(C1(O)C(C5(C(=CC1)CC(OC4OC(C(OC3OC(C(OC2OC(C(O)C(OC)C2O)C)C(OC)C3)C)C(OC)C4)C)CC5)C)C(O)C6O)CC(O)(C7)C(=O)C
国际化学标识码 InChI 1S/C42H68O17/c1-19-29(44)34(53-9)30(45)37(56-19)59-33-21(3)55-28(16-26(33)52-8)58-32-20(2)54-27(15-25(32)51-7)57-24-11-12-38(5)23(14-24)10-13-41(49)35(38)31(46)36(47)39(6)17-40(48,22(4)43)18-42(39,41)50/h10,19-21,24-37,44-50H,11-18H2,1-9H3
国际化学标识检索码 InChIKey DPMVYTYRMGJDQQ-UHFFFAOYSA-N
物理化学性质
密度 1.371g/cm3 (计算值)
沸点 902.288°C at 760 mmHg (计算值)
闪点 262.277°C (计算值)
市场分析报告
请浏览1-[3-[5-[5-(3,5-二羟基-4-甲氧基-6-甲基四氢吡喃-2-基)氧基-4-甲氧基-6-甲基四氢吡喃-2-基]氧基-4-甲氧基-6-甲基四氢吡喃-2-基]氧基-8,11,12,14,16-五羟基-10,13-二甲基-1,2,3,4,7,9,11,12,15,17-十氢环戊烯并[a]菲-16-基]乙酮市场分析报告总目录
相关产品
2-[3,5-二(苯基)吡唑-1-基]-1-苯乙醇  N-苯基-1H-咪唑-4-甲酰胺  2-环己基-4,6-二硝基苯酚  (4aS,4bS,7S,8aS,10aR)-7-[...  [2-[[(2R)-1,5-二十二烷氧基-1,5-...  [(2S,3S,4R,5R,6S)-3,5-二(苯...  1-棕榈酰磷脂酰乙醇胺  (2R)-1-苯基-N-(3-苯基丙基)丙-2-胺...  [4-(二甲基氨基)苯基]锂  4,5-二乙酰氧基环戊烷-1,3-二甲酸  N-丁基-2-羟基-3-苯基苯甲酰胺  2,3,7,8,12,13,17,18-八溴-5,...  二钠4-十四烷基2-磺酸基琥珀酸盐  2-[(2R,5S)-5-(羟基甲基)-2,5-二...  甲基(2S)-2-[[(2S)-2-[[(2S)-...