Online Database of Chemicals from Around the World

Woodrosin I
[CAS# 156057-51-1]

Suppliers
CAS#: 156057-51-1
Product: Woodrosin I
No suppilers available for the product.
Identification
Name Woodrosin I
Synonyms Hexadecanoic Acid, 11-((O-6-Deoxy-2,4-Bis-O-((S)-2-Methyl-1-Oxobutyl)-Alpha-L-Mannopyranosyl-(1-2)-O-(O-Beta-D-Glucopyranosyl-(1-6)-3,4 Bis-O-((S)-2-Methyl-1-Oxobutyl)-Beta-D-Glucopyranosyl-(1-3))-O-Beta-D-Glucopyranosyl-(1-2)-Beta-D-Glcopyranosyl)Oxy)-, Intramol. 1-2''''-Ester, (S)-; Hexadecanoic Acid, 11-((O-6-Deoxy-2,4-Bis-O-((S)-2-Methyl-1-Oxobutyl)-Alpha-L-Mannopyranosyl-(1-2)-O-(O-Beta-D-Glucopyranosyl-(1-6)-3,4-Bis-D-((S)-2-Methyl-1-Oxobutyl)-Beta-D-Glopyranosyl-(1-3))-O-Beta-D-Glucopyranosyl-(1-2)-Beta-D-Glucopyranosyl)Oxy)-, Intramol. 1-2''''-Ester, (S)-; Jalapinolic Acid 11-O-Glucopyranosyl-1-6-O-(3,4-Di-O-2-Methylbutyryl)Glucopyranosyl-1-3-O-((2,4-Di-O-2-Methylbutyryl)Rhamnopyranosyl-1-2)-O-Glucopyranosyl-1-2-Glucopyranoside Intramolecular 1,2'''''-Ester
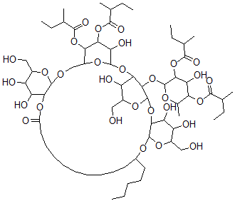
Molecular Structure CAS#: 156057-51-1, Woodrosin I
Molecular Formula C66H112O30
Molecular Weight 1385.59
CAS Registry Number 156057-51-1
SMILES C(C4C(C(C3OC5C(C(OC1C(C(OC(=O)C(CC)C)C(C(O1)COC2C(C(O)C(C(O2)CO)O)OC(=O)CCCCCCCCCC(OC3O4)CCCCC)OC(=O)C(CC)C)O)C(C(O5)CO)O)OC6C(C(O)C(C(O6)C)OC(=O)C(CC)C)OC(=O)C(CC)C)O)O)O
InChI 1S/C66H112O30/c1-11-16-22-25-37-26-23-20-18-17-19-21-24-27-42(70)89-54-46(74)43(71)38(28-67)85-63(54)82-31-41-51(91-59(79)33(7)13-3)53(92-60(80)34(8)14-4)49(77)62(88-41)94-52-45(73)40(30-69)87-66(95-55-47(75)44(72)39(29-68)86-65(55)84-37)57(52)96-64-56(93-61(81)35(9)15-5)48(76)50(36(10)83-64)90-58(78)32(6)12-2/h32-41,43-57,62-69,71-77H,11-31H2,1-10H3
InChIKey MQNTUHJXSGSICT-UHFFFAOYSA-N
Market Analysis Reports
List of Reports Available for Woodrosin I
Related Products
Woodrosin II  2-Hydroxy-3-Phenyl-Propanoic Acid  2-Propanoyloxyhexyl Propanoate  Cobalt Propionate  Arsenic Acid Tripropyl Ester  Bis-(Dithiobenzil)-Platinum  2,2,4,4,6,6-Hexahydro-6-chloro-2,2,4,4,6...  2-Methylnonadecane  2-Methyloctadecane  2-Methylhexadecane  2-Methylpentadecane  2-Methyltetradecane  2-Methyltridecane  27-Methyloctacosane  Manganese Ammonium Phosphate