Online Database of Chemicals from Around the World

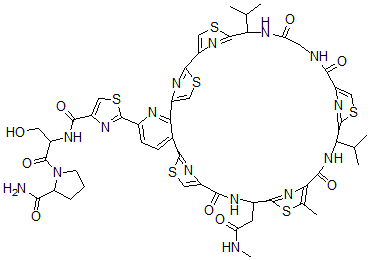
Amythiamicin B
[CAS# 156620-48-3]

Suppliers
CAS#: 156620-48-3
Product: Amythiamicin B
No suppilers available for the product.
Identification
Name Amythiamicin B
Synonyms L-Prolinamide, N-((2-(10,11,17,18,23,24,25,26,27,28-Decahydro-14-Methyl-11-(2-(Methylamino)-2-Oxoethyl)-18,28-Bis(1-Methylethyl)-9,16,23,26-Tetraoxo-9H,16H-8,5:15,12:22,19:32,29:36,33-Pentanitrilo-5H,29H,33H-Pyrido(3,2-A1)(1,11,18,25,31,4,7,14,21)Pentathiatetraazacyclotetratriacontin-2-Yl)-4-Thiazolyl)Carbonyl)-L-Seryl-
Molecular Structure CAS#: 156620-48-3, Amythiamicin B
Molecular Formula C50H53N15O9S6
Molecular Weight 1200.42
CAS Registry Number 156620-48-3
SMILES N1=C6SC=C1C2=NC(=CC=C2C3=NC(=CS3)C(=O)NC(C4=NC(=C(S4)C)C(=O)NC(C5=NC(=CS5)C(=O)NCC(=O)NC(C7=NC6=CS7)C(C)C)C(C)C)CC(=O)NC)C8=NC(=CS8)C(=O)NC(C(=O)N9C(CCC9)C(=O)N)CO
InChI 1S/C50H53N15O9S6/c1-20(2)35-48-61-31(19-79-48)46-57-27(15-76-46)38-23(9-10-24(54-38)45-59-30(18-77-45)42(72)56-26(14-66)50(74)65-11-7-8-32(65)39(51)69)44-58-29(17-75-44)41(71)55-25(12-33(67)52-6)47-64-37(22(5)80-47)43(73)63-36(21(3)4)49-60-28(16-78-49)40(70)53-13-34(68)62-35/h9-10,15-21,25-26,32,35-36,66H,7-8,11-14H2,1-6H3,(H2,51,69)(H,52,67)(H,53,70)(H,55,71)(H,56,72)(H,62,68)(H,63,73)
InChIKey ZVLJONLPGJUTCW-UHFFFAOYSA-N
Properties
Density 1.414g/cm3 (Cal.)
Market Analysis Reports
List of Reports Available for Amythiamicin B
Related Products
Phenyl O-(2,3,4,6-Tetra-O-Benzyl-Glucopy...  2,4,6-Trimethyl-1,2,4-Triazine-3,5-Dithi...  3-Methylthio-6-methyl-5-oxo-4,5-dihydrot...  2-Chloro-5-(4-Chlorophenoxy)-4-Dimethyla...  2-[6-(Bis(Carboxymethyl)Amino)-5-[2-[6-(...  4-Methoxyphenylurea  Butyltris(Dodecylthio)Stannane  Dibutyldithioxodistannathiane  (1S,2S,3E,11E,13R)-2-Hydroxy-7-Methyl-15...  [[2-[3-[(4-Amino-2-Methyl-Pyrimidin-5-Yl...  1-(Hydroxymethyl)-Imidazolidin-2-One  Acetic Acid 1-Cyano-2-Propenyl Ester  Zirconium Carbonate Oxide  N-3-4-(dimethylamino)benzoylaminopropyl-...  (2R)-N'-Hydroxy-2-(2-Methylpropyl)-N-[(2...