Online Database of Chemicals from Around the World

高软海绵素B
[CAS# 101383-39-5]

供应商
CAS#: 101383-39-5
产品: 高软海绵素B
暂时没有厂家供应该产品。
基本信息
产品名称 高软海绵素B
英文名 Homohalichondrin B
别名 Neuro_000233; B7722121f049(=K053); From Marine Animal Axinella Sp.
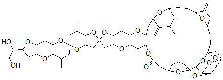
分子结构 CAS 登录号:101383-39-5, 高软海绵素B
分子式 C61H86O19
分子量 1123.34
CAS 登录号 101383-39-5
分子行输入简码 SMILES O1C%12C%13OC2C%14OC1(C2)CCC3OC(C(C3)=C)CCC%16OC(CC%11OC%10C(OC9CC8(OC7C(OC6(OC5C(OC4C(OC(C4)C(O)CO)C5)C(C6)C)CC7C)C8)OC9C%10)C(C%11OC(=O)CC%15OC%12C(OC%13%14)CC%15)C)C(C(C%16)C)=C
国际化学标识码 InChI 1S/C61H86O19/c1-26-13-32-7-9-36-27(2)14-34(65-36)11-12-59-23-47-55(79-59)56-57(73-47)58(80-59)54-37(70-56)10-8-33(67-54)15-49(64)74-53-31(6)52-44(69-43(53)16-38(66-32)30(26)5)19-42-46(72-52)22-61(75-42)24-48-51(78-61)29(4)21-60(77-48)20-28(3)50-45(76-60)18-40-41(71-50)17-39(68-40)35(63)25-62/h26,28-29,31-48,50-58,62-63H,2,5,7-25H2,1,3-4,6H3
国际化学标识检索码 InChIKey LMZKVILFCFSDGK-UHFFFAOYSA-N
物理化学性质
密度 1.388g/cm3 (计算值)
市场分析报告
请浏览高软海绵素B市场分析报告总目录
相关产品
1-[(6R)-2-氨基-4-氧代-5,6,7,8...  二-(2-乙基己基)4,5-环氧四氢邻苯二甲酸酯  4-甲基-7-氧杂双环[4.1.0]庚烷-3-羧酸...  2-乙氧基-3,4-二氢-4-甲基-2H-吡喃  2-[(1-乙基戊基)氧基]乙醇  苯基乙基乳酸盐  2-(2-羟基乙基氨基)-1-丙胺  三(2-氯乙氧基)硅烷  2-[2-[(1-乙基戊基)氧基]乙氧基]乙醇  1,1,3-三甲氧基丁烷  三乙基铵磷酸盐  畜群霉素  苯基2-乙酰氨基-2-脱氧-alpha-D-吡喃半...  1-氨基-D-脯氨酸  gamma-谷氨酰-1-氨基-D-脯氨酸