基本信息
产品名称 |
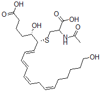
(5S,6R,7E,9E,11Z,14Z)-6-(2-乙酰氨基-3-羟基-3-氧代丙基)硫基-5,20-二羟基二十碳-7,9,11,14-四烯酸 |
英文名 |
(5S,6R,7E,9E,11Z,14Z)-6-(2-Acetamido-3-Hydroxy-3-Oxopropyl)Sulfanyl-5,20-Dihydroxyicosa-7,9,11,14-Tetraenoic Acid |
别名 |
(5S,6R,7E,9E,11Z,14Z)-6-(2-Acetamido-3-Hydroxy-3-Oxo-Propyl)Sulfanyl-5,20-Dihydroxy-Icosa-7,9,11,14-Tetraenoic Acid; (5S,6R,7E,9E,11Z,14Z)-6-[(2-Acetamido-3-Hydroxy-3-Oxopropyl)Thio]-5,20-Dihydroxyicosa-7,9,11,14-Tetraenoic Acid; (5S,6R,7E,9E,11Z,14Z)-6-[(2-Acetamido-3-Hydroxy-3-Keto-Propyl)Thio]-5,20-Dihydroxy-Icosa-7,9,11,14-Tetraenoic Acid |
|
分子结构 |
 |
分子式 |
C25H39NO7S |
分子量 |
497.65 |
CAS 登录号 |
107701-63-3 |
分子行输入简码 SMILES |
[C@H](SCC(NC(=O)C)C(=O)O)([C@@H](O)CCCC(=O)O)\C=C\C=C\C=C/C/C=C\CCCCCO |
国际化学标识码 InChI |
1S/C25H39NO7S/c1-20(28)26-21(25(32)33)19-34-23(22(29)15-14-17-24(30)31)16-12-10-8-6-4-2-3-5-7-9-11-13-18-27/h3-6,8,10,12,16,21-23,27,29H,2,7,9,11,13-15,17-19H2,1H3,(H,26,28)(H,30,31)(H,32,33)/b5-3-,6-4-,10-8+,16-12+/t21?,22-,23+/m0/s1 |
国际化学标识检索码 InChIKey |
UZPKZFXYHDIVQF-AHKZIMAMSA-N |
|