Online Database of Chemicals from Around the World

Youlemycin
[CAS# 110207-81-3]

供应商
CAS#: 110207-81-3
产品: Youlemycin
暂时没有厂家供应该产品。
基本信息
产品名称 Youlemycin
英文名 Youlemycin
别名 5-Amino-2-[[7-Amino-6-[4-Amino-2,3-Dihydroxy-6-(2-Hydroxyethylamino)Cyclohexoxy]-4-Hydroxy-3-Methylamino-2,3,4,4A,6,7,8,8A-Octahydropyrano[2,3-E]Pyran-2-Yl]Oxy]-6-(Hydroxymethyl)Tetrahydropyran-3,4-Diol; 5-Amino-2-[[7-Amino-6-[4-Amino-2,3-Dihydroxy-6-(2-Hydroxyethylamino)Cyclohexoxy]-4-Hydroxy-3-Methylamino-2,3,4,4A,6,7,8,8A-Octahydropyrano[2,3-E]Pyran-2-Yl]Oxy]-6-Methylol-Tetrahydropyran-3,4-Diol; D-Streptamine, O-4-Amino-4-Deoxy-Alpha-D-Glucopyranosyl-(1-8)-O-(8R)-2-Amino-2,3,7-Trideoxy-7-(Methylamino)-D-Glycero-Alpha-D-Allo-Octodialdo-1,5:8,4-Dipyranosyl-(1-4)-2-Deoxy-N3-(2-Hydroxyethyl)-
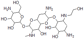
分子结构 CAS 登录号:110207-81-3, Youlemycin
分子式 C23H45N5O12
分子量 583.63
CAS 登录号 110207-81-3
分子行输入简码 SMILES C(NC4C(OC1C(CC2C(O1)C(C(C(O2)OC3OC(C(C(C3O)O)N)CO)NC)O)N)C(C(C(C4)N)O)O)CO
国际化学标识码 InChI 1S/C23H45N5O12/c1-27-13-16(33)20-10(36-22(13)40-23-18(35)15(32)12(26)11(6-30)37-23)5-8(25)21(39-20)38-19-9(28-2-3-29)4-7(24)14(31)17(19)34/h7-23,27-35H,2-6,24-26H2,1H3
国际化学标识检索码 InChIKey QNFLJFGZCCREJW-UHFFFAOYSA-N
物理化学性质
密度 1.545g/cm3 (计算值)
沸点 887.763°C at 760 mmHg (计算值)
闪点 490.702°C (计算值)
市场分析报告
请浏览Youlemycin市场分析报告总目录
相关产品
草质素8-O-葡糖苷  4'-Cinnamoylmussatioside  1(beta-巯基(beta,beta-环戊基亚甲...  (2,3)-alpha-亚甲基苄基青霉素  [(2R,3S,4R,5R)-5-[6-氨基-2-...  N-(2-羟基乙基)-3,3-二(甲硫基)丙酰胺  1,3-二(2-甲基-4-硝基咪唑-1-基)丙-2...  N-(3-吗啉-4-基丙基)-2-(3-硝基吡咯并...  (E)-4-乙酰氧基-2-氨基-3,5,14-三羟...  (4E,18Z,20Z)-22-乙基-7,11,1...  (2S,3R,4S,5R)-2,3,5-三羟基-6...  (S)-2,3-二氢-5,7-二羟基-6-甲基-2...  2',3'-开环尿苷4-硝基苯基5'-磷酸酯  [(2R)-2-[(1R)-1-(2,4-二氧代嘧...  去甲郝青霉素酮