基本信息
产品名称 |
(4R,5S,6R,7S,8R)-5,7-二乙酰氨基-4,6,8-三羟基-2-氧代壬酸 |
英文名 |
(4R,5S,6R,7S,8R)-5,7-Diacetamido-4,6,8-Trihydroxy-2-Oxononanoic Acid |
别名 |
(4R,5S,6R,7S,8R)-5,7-Diacetamido-4,6,8-Trihydroxy-2-Oxo-Nonanoic Acid; (4R,5S,6R,7S,8R)-5,7-Diacetamido-4,6,8-Trihydroxy-2-Keto-Pelargonic Acid; 5,7-Diacetamido-3,5,7,9-Tetradeoxy-Glycerogalacto-Nonulosonic Acid |
|
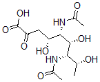
分子结构 |
 |
分子式 |
C13H22N2O8 |
分子量 |
334.33 |
CAS 登录号 |
112154-63-9 |
分子行输入简码 SMILES |
[C@@H](C)([C@H](NC(C)=O)[C@H]([C@@H](NC(=O)C)[C@@H](CC(C(=O)O)=O)O)O)O |
国际化学标识码 InChI |
1S/C13H22N2O8/c1-5(16)10(14-6(2)17)12(21)11(15-7(3)18)8(19)4-9(20)13(22)23/h5,8,10-12,16,19,21H,4H2,1-3H3,(H,14,17)(H,15,18)(H,22,23)/t5-,8-,10+,11+,12-/m1/s1 |
国际化学标识检索码 InChIKey |
LRTLWORKIZTEJN-OIPGZRGRSA-N |
|