基本信息
产品名称 |
2,3-二羟基丙基磷酸酯钠盐 3-羟基-1,2-丙烷二基二(十四烷酸)酯 |
英文名 |
Sodium 2,3-Dihydroxypropyl Phosphate 3-Hydroxy-1,2-Propanediyl Ditetradecanoate (2:1:2) |
别名 |
1,2-Dimyristoyl-sn-glycero-3-phospho-sn-glycerol sodium salt; Natrium-2,3-dihydroxypropylphosphat --3-hydroxy-1,2-propandiyl-ditetradecanoat (2:1:2) |
|
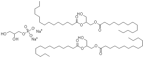
分子结构 |
 |
分子式 |
C65H127Na2O16P |
分子量 |
1241.65 |
CAS 登录号 |
116870-30-5 |
分子行输入简码 SMILES |
CCCCCCCCCCCCCC(=O)OCC(CO)OC(=O)CCCCCCCCCCCCC.CCCCCCCCCCCCCC(=O)OCC(CO)OC(=O)CCCCCCCCCCCCC.C(C(COP(=O)([O-])[O-])O)O.[Na+].[Na+] |
国际化学标识码 InChI |
1S/2C31H60O5.C3H9O6P.2Na/c2*1-3-5-7-9-11-13-15-17-19-21-23-25-30(33)35-28-29(27-32)36-31(34)26-24-22-20-18-16-14-12-10-8-6-4-2;4-1-3(5)2-9-10(6,7)8;;/h2*29,32H,3-28H2,1-2H3;3-5H,1-2H2,(H2,6,7,8);;/q;;;2*+1/p-2 |
国际化学标识检索码 InChIKey |
HQSVELSNCBOFCA-UHFFFAOYSA-L |
|