Online Database of Chemicals from Around the World

9-脱氧-9-(丙基氨基)红霉素
[CAS# 119904-03-9]

供应商
CAS#: 119904-03-9
产品: 9-脱氧-9-(丙基氨基)红霉素
暂时没有厂家供应该产品。
基本信息
产品名称 9-脱氧-9-(丙基氨基)红霉素
英文名 9-Deoxy-9-(propylamino)erythromycin
别名 6-(4-Dimethylamino-3-Hydroxy-6-Methyl-Tetrahydropyran-2-Yl)Oxy-14-Ethyl-7,12,13-Trihydroxy-4-(5-Hydroxy-4-Methoxy-4,6-Dimethyl-Tetrahydropyran-2-Yl)Oxy-3,5,7,9,11,13-Hexamethyl-10-Propylamino-1-Oxacyclotetradecan-2-One; 6-[(4-Dimethylamino-3-Hydroxy-6-Methyl-2-Tetrahydropyranyl)Oxy]-14-Ethyl-7,12,13-Trihydroxy-4-[(5-Hydroxy-4-Methoxy-4,6-Dimethyl-2-Tetrahydropyranyl)Oxy]-3,5,7,9,11,13-Hexamethyl-10-Propylamino-1-Oxacyclotetradecan-2-One; 6-(4-Dimethylamino-3-Hydroxy-6-Methyl-Oxan-2-Yl)Oxy-14-Ethyl-7,12,13-Trihydroxy-4-(5-Hydroxy-4-Methoxy-4,6-Dimethyl-Oxan-2-Yl)Oxy-3,5,7,9,11,13-Hexamethyl-10-Propylamino-1-Oxacyclotetradecan-2-One
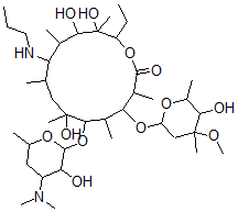
分子结构 CAS 登录号:119904-03-9, 9-脱氧-9-(丙基氨基)红霉素
分子式 C40H76N2O12
分子量 777.05
CAS 登录号 119904-03-9
分子行输入简码 SMILES C(C3OC(=O)C(C(OC1OC(C(O)C(OC)(C1)C)C)C(C(OC2OC(CC(N(C)C)C2O)C)C(O)(CC(C(NCCC)C(C(O)C3(O)C)C)C)C)C)C)C
国际化学标识码 InChI 1S/C40H76N2O12/c1-15-17-41-30-21(3)19-38(9,47)35(54-37-31(43)27(42(12)13)18-22(4)50-37)24(6)32(53-29-20-39(10,49-14)34(45)26(8)51-29)25(7)36(46)52-28(16-2)40(11,48)33(44)23(30)5/h21-35,37,41,43-45,47-48H,15-20H2,1-14H3
国际化学标识检索码 InChIKey JDBGPLZPTBGQMX-UHFFFAOYSA-N
物理化学性质
密度 1.166g/cm3 (计算值)
沸点 830.385°C at 760 mmHg (计算值)
闪点 456°C (计算值)
市场分析报告
请浏览9-脱氧-9-(丙基氨基)红霉素市场分析报告总目录
相关产品
1-硬脂酰-2-花生四烯酰基磷脂酸  1-棕榈酰-2-花生四烯酰基缩醛磷脂磷脂酰乙醇胺  4(5)-(2-氨基-1-羟基乙基)咪唑  5-(2-氨基乙基)苯-1,2,4-三醇盐酸盐  4-乙氧基苯基氯乙酸酯  (2E)-2-(亚硝基甲基亚基)-3H-1,3-苯...  N-(3-羟基-alpha-甲基-L-酪氨酰)-L...  巯基甲基-4-甲基戊酰基-苯丙氨酰丙氨酰胺  1-氯-4-甲硫基-2-硝基苯  2-(6'-羧基己基)-3-N-己基环己胺  (2S,12bS)-1',3'-二甲基螺[1,3,...  8,17-环氧赖百当-12-烯-15,16-二醛  甲基3-脱氧-7,8-O-(1-甲基乙亚基)-1-...  二(五氟苄基)二硫醚  胶原蛋白型IValpha1(531-543)