Online Database of Chemicals from Around the World

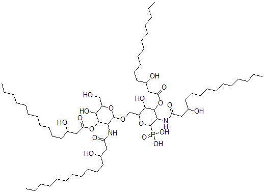
[5-羟基-6-[[5-羟基-6-(羟基甲基)-3-(3-羟基十四烷酰基氨基)-4-(3-羟基十四烷酰基氧基)四氢吡喃-2-基]氧基甲基]-3-(3-羟基十四烷酰基氨基)-4-(3-羟基十四烷酰基氧基)四氢吡喃-2-基]膦酸
[CAS# 131061-35-3]

供应商
CAS#: 131061-35-3
产品: [5-羟基-6-[[5-羟基-6-(羟基甲基)-3-(3-羟基十四烷酰基氨基)-4-(3-羟基十四烷酰基氧基)四氢吡喃-2-基]氧基甲基]-3-(3-羟基十四烷酰基氨基)-4-(3-羟基十四烷酰基氧基)四氢吡喃-2-基]膦酸
暂时没有厂家供应该产品。
基本信息
产品名称 [5-羟基-6-[[5-羟基-6-(羟基甲基)-3-(3-羟基十四烷酰基氨基)-4-(3-羟基十四烷酰基氧基)四氢吡喃-2-基]氧基甲基]-3-(3-羟基十四烷酰基氨基)-4-(3-羟基十四烷酰基氧基)四氢吡喃-2-基]膦酸
英文名 [5-Hydroxy-6-[[5-Hydroxy-6-(Hydroxymethyl)-3-(3-Hydroxytetradecanoylamino)-4-(3-Hydroxytetradecanoyloxy)Oxan-2-Yl]Oxymethyl]-3-(3-Hydroxytetradecanoylamino)-4-(3-Hydroxytetradecanoyloxy)Oxan-2-Yl]Phosphonic Acid
别名 [5-Hydroxy-6-[[5-Hydroxy-6-(Hydroxymethyl)-3-(3-Hydroxytetradecanoylamino)-4-(3-Hydroxytetradecanoyloxy)Tetrahydropyran-2-Yl]Oxymethyl]-3-(3-Hydroxytetradecanoylamino)-4-(3-Hydroxytetradecanoyloxy)Tetrahydropyran-2-Yl]Phosphonic Acid; [5-Hydroxy-6-[[5-Hydroxy-6-(Hydroxymethyl)-4-(3-Hydroxy-1-Oxotetradecoxy)-3-[(3-Hydroxy-1-Oxotetradecyl)Amino]-2-Tetrahydropyranyl]Oxymethyl]-4-(3-Hydroxy-1-Oxotetradecoxy)-3-[(3-Hydroxy-1-Oxotetradecyl)Amino]-2-Tetrahydropyranyl]Phosphonic Acid; [5-Hydroxy-6-[[5-Hydroxy-3-(3-Hydroxytetradecanoylamino)-4-(3-Hydroxytetradecanoyloxy)-6-Methylol-Tetrahydropyran-2-Yl]Oxymethyl]-3-(3-Hydroxytetradecanoylamino)-4-(3-Hydroxytetradecanoyloxy)Tetrahydropyran-2-Yl]Phosphonic Acid
分子结构 CAS 登录号:131061-35-3, [5-羟基-6-[[5-羟基-6-(羟基甲基)-3-(3-羟基十四烷酰基氨基)-4-(3-羟基十四烷酰基氧基)四氢吡喃-2-基]氧基甲基]-3-(3-羟基十四烷酰基氨基)-4-(3-羟基十四烷酰基氧基)四氢吡喃-2-基]膦酸
分子式 C68H129N2O19P
分子量 1309.74
CAS 登录号 131061-35-3
分子行输入简码 SMILES C(C(NC1C(C(O)C(CO)OC1OCC2C(C(C(NC(CC(O)CCCCCCCCCCC)=O)C(O2)[P](=O)(O)O)OC(CC(O)CCCCCCCCCCC)=O)O)OC(CC(O)CCCCCCCCCCC)=O)=O)C(O)CCCCCCCCCCC
国际化学标识码 InChI 1S/C68H129N2O19P/c1-5-9-13-17-21-25-29-33-37-41-51(72)45-57(76)69-61-65(88-59(78)47-53(74)43-39-35-31-27-23-19-15-11-7-3)63(80)55(49-71)86-67(61)85-50-56-64(81)66(89-60(79)48-54(75)44-40-36-32-28-24-20-16-12-8-4)62(68(87-56)90(82,83)84)70-58(77)46-52(73)42-38-34-30-26-22-18-14-10-6-2/h51-56,61-68,71-75,80-81H,5-50H2,1-4H3,(H,69,76)(H,70,77)(H2,82,83,84)
国际化学标识检索码 InChIKey RXMIYVKPBNCKJG-UHFFFAOYSA-N
物理化学性质
密度 1.162g/cm3 (计算值)
市场分析报告
请浏览[5-羟基-6-[[5-羟基-6-(羟基甲基)-3-(3-羟基十四烷酰基氨基)-4-(3-羟基十四烷酰基氧基)四氢吡喃-2-基]氧基甲基]-3-(3-羟基十四烷酰基氨基)-4-(3-羟基十四烷酰基氧基)四氢吡喃-2-基]膦酸市场分析报告总目录
相关产品
(3S,8R,9S,10S,13S,14S,16R...  硫氢化钾  N-[(1-乙基吡咯烷-2-基)甲基]-2-羟基-...  N-[2-(3,4-二羟基苯基)乙基]乙酰胺硫酸盐  2-[2-氨基-3,4-二羟基-5-(羟基甲基)环...  2-三甲基铵乙基丙烯酸酯硫酸甲酯盐  (2R,3R,4S,5R)-2-(1-羟基乙基)-...  1-N-十六烷基-4-甲基吡啶鎓氯化物水合物  (3R)-3-[(3-乙酰基硫基-3-甲基丁酰基)...  3-[(3-甲基-3-硫基丁酰基)氨基]丙酸  N-(2-乙基-6-甲基苯基)-2-羟基-N-(1...  二烯丙基二乙基氯化铵  3-(2-苯基吡唑-3-基)-1,2,3-苯并三嗪...  4-乙烯基甲苯氧化物  17beta-(3'-噻吩基)-5beta-雄甾烷...