Online Database of Chemicals from Around the World

[(2R)-1-棕榈酰氧基-3-[羟基-[3-(4-甲氧基苯基)-2-氧代苯并吡喃-7-基]氧基磷酰]氧基丙-2-基]棕榈酸酯
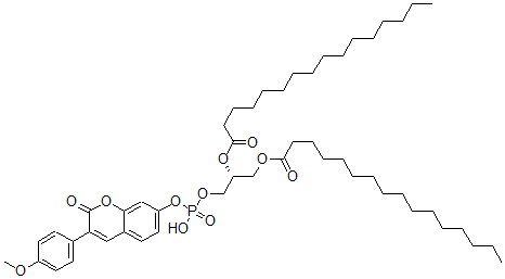
[CAS# 133640-28-5]

基本信息
产品名称 [(2R)-1-棕榈酰氧基-3-[羟基-[3-(4-甲氧基苯基)-2-氧代苯并吡喃-7-基]氧基磷酰]氧基丙-2-基]棕榈酸酯
英文名 [(2R)-1-Hexadecanoyloxy-3-[Hydroxy-[3-(4-Methoxyphenyl)-2-Oxochromen-7-Yl]Oxyphosphoryl]Oxypropan-2-Yl] Hexadecanoate
别名 [(1R)-1-(Hexadecanoyloxymethyl)-2-[Hydroxy-[3-(4-Methoxyphenyl)-2-Oxo-Chromen-7-Yl]Oxy-Phosphoryl]Oxy-Ethyl] Hexadecanoate; Hexadecanoic Acid [(1R)-1-[[Hydroxy-[[3-(4-Methoxyphenyl)-2-Oxo-7-Chromenyl]Oxy]Phosphoryl]Oxymethyl]-2-(1-Oxohexadecoxy)Ethyl] Ester; Palmitic Acid [(1R)-1-(Hexadecanoyloxymethyl)-2-[Hydroxy-[2-Keto-3-(4-Methoxyphenyl)Chromen-7-Yl]Oxy-Phosphoryl]Oxy-Ethyl] Ester
分子结构 CAS 登录号:133640-28-5, [(2R)-1-棕榈酰氧基-3-[羟基-[3-(4-甲氧基苯基)-2-氧代苯并吡喃-7-基]氧基磷酰]氧基丙-2-基]棕榈酸酯
分子式 C51H79O11P
分子量 899.15
CAS 登录号 133640-28-5
分子行输入简码 SMILES [C@@H](COC(CCCCCCCCCCCCCCC)=O)(CO[P](=O)(OC2=CC=C1C=C(C(OC1=C2)=O)C3=CC=C(C=C3)OC)O)OC(CCCCCCCCCCCCCCC)=O
国际化学标识码 InChI 1S/C51H79O11P/c1-4-6-8-10-12-14-16-18-20-22-24-26-28-30-49(52)58-40-46(60-50(53)31-29-27-25-23-21-19-17-15-13-11-9-7-5-2)41-59-63(55,56)62-45-37-34-43-38-47(51(54)61-48(43)39-45)42-32-35-44(57-3)36-33-42/h32-39,46H,4-31,40-41H2,1-3H3,(H,55,56)/t46-/m1/s1
国际化学标识检索码 InChIKey QJSUPSSECDJUED-YACUFSJGSA-N
物理化学性质
密度 1.091g/cm3 (计算值)
沸点 891.139°C at 760 mmHg (计算值)
闪点 492.743°C (计算值)
市场分析报告
请浏览[(2R)-1-棕榈酰氧基-3-[羟基-[3-(4-甲氧基苯基)-2-氧代苯并吡喃-7-基]氧基磷酰]氧基丙-2-基]棕榈酸酯市场分析报告总目录
相关产品
氯苄雷司  (+/-)-反-7-甲基苯并(a)蒽3,4-二氢二...  8-[3-(叔丁基氨基)-2-羟基丙氧基]-4H-...  甲基(1R,2S,3S,5S)-3-(4-碘苯基)...  2-(乙酰氧基)-2-(甲硫基)-1H-茚-1,3...  (2S)-2-[[4-[(2-氨基-4-氧代-7,...  吖啶-9-基-(3-二甲基铵基丙基)铵二氯化物  N-[4-(二甲基氨基)苯基]-9-吖啶胺  N-(2-甲基苯基)-1-氮杂双环[2.2.2]辛...  去-苯丙氨酸-安南汀  4-(2-羟基-5,7-二甲基-3-氧代-1-苯并...  (2S)-2-[(E)-3-(4-氨基苯基)-2-...  (2S)-2-[(E)-2-(苯甲酰基氨基)-3-...  N-[(2-氯苯基)亚甲基氨基]-3,4,5-三甲...  二甲基己烯雌酚