基本信息
产品名称 |
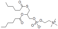
(2-己酰氧基-3-己酰基硫基丙基)2-三甲基铵乙基磷酸酯盐 |
英文名 |
(2-Hexanoyloxy-3-Hexanoylsulfanylpropyl) 2-Trimethylazaniumylethyl Phosphate |
别名 |
(2-Hexanoyloxy-3-Hexanoylsulfanyl-Propyl) 2-Trimethylammonioethyl Phosphate; [2-(1-Oxohexoxy)-3-(1-Oxohexylthio)Propyl] 2-Trimethylammonioethyl Phosphate; [2-Caproyloxy-3-(Caproylthio)Propyl] 2-Trimethylammonioethyl Phosphate |
|
分子结构 |
 |
分子式 |
C20H40NO7PS |
分子量 |
469.57 |
CAS 登录号 |
134153-58-5 |
分子行输入简码 SMILES |
C(O[P](OCC[N+](C)(C)C)([O-])=O)C(OC(=O)CCCCC)CSC(=O)CCCCC |
国际化学标识码 InChI |
1S/C20H40NO7PS/c1-6-8-10-12-19(22)28-18(17-30-20(23)13-11-9-7-2)16-27-29(24,25)26-15-14-21(3,4)5/h18H,6-17H2,1-5H3 |
国际化学标识检索码 InChIKey |
CBIBDCMNFJNTGY-UHFFFAOYSA-N |
|