基本信息
产品名称 |
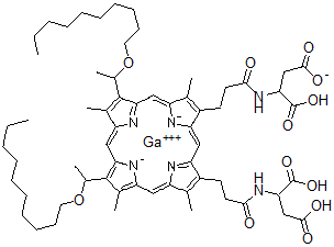
2,4-二(1-癸基氧基乙基)-镓(III)-1,3,5,8-四甲基卟啉-6,7-二丙酰基二天冬氨酸 |
英文名 |
2,4-Bis(1-Decyloxyethyl)-gallium(III)-1,3,5,8-Tetramethylporphyrin-6,7-Dipropionyl Diaspartic Acid |
别名 |
Atx 70; Atx-70; Gallate(3-), ((N,N'-((7,12-Bis(1-(Decyloxy)Ethyl)-3,8,13,17-Tetramethyl-21H,23H-Porphine-2,18-Diyl)Bis(1-Oxo-3,1-Propanediyl))Bis(L-Aspartato))(6-)-N21,N22,N23,N24)-, Trihydrogen, (Sp-4-2)- |
|
分子结构 |
 |
分子式 |
C62H85GaN6O12 |
分子量 |
1176.11 |
CAS 登录号 |
135099-39-7 |
分子行输入简码 SMILES |
[Ga+3].[N-]1C4=C(C(=C1C=C2N=C(C(=C2C(OCCCCCCCCCC)C)C)C=C3N=C(C(=C3C)CCC(=O)NC(C([O-])=O)CC([O-])=O)C=C5[N-]C(=C4)C(=C5CCC(=O)NC(C([O-])=O)CC([O-])=O)C)C)C(OCCCCCCCCCC)C.[H+].[H+].[H+] |
国际化学标识码 InChI |
1S/C62H88N6O12.Ga/c1-9-11-13-15-17-19-21-23-29-79-41(7)59-39(5)47-31-45-37(3)43(25-27-55(69)67-53(61(75)76)35-57(71)72)49(63-45)34-50-44(26-28-56(70)68-54(62(77)78)36-58(73)74)38(4)46(64-50)32-51-60(40(6)48(66-51)33-52(59)65-47)42(8)80-30-24-22-20-18-16-14-12-10-2;/h31-34,41-42,53-54H,9-30,35-36H2,1-8H3,(H8,63,64,65,66,67,68,69,70,71,72,73,74,75,76,77,78);/q;+3/p-3 |
国际化学标识检索码 InChIKey |
WPEFUMGLIZEXIR-UHFFFAOYSA-K |
|