Online Database of Chemicals from Around the World

(2S,3R,4S,5S)-6-[[(2S,3S,4S,5S,6R)-6-[(1S)-1,2-二羟基乙基]-3,4,5-三羟基四氢吡喃-2-基]氧基甲基]四氢吡喃-2,3,4,5-四醇
[CAS# 136337-35-4]

供应商
CAS#: 136337-35-4
产品: (2S,3R,4S,5S)-6-[[(2S,3S,4S,5S,6R)-6-[(1S)-1,2-二羟基乙基]-3,4,5-三羟基四氢吡喃-2-基]氧基甲基]四氢吡喃-2,3,4,5-四醇
暂时没有厂家供应该产品。
基本信息
产品名称 (2S,3R,4S,5S)-6-[[(2S,3S,4S,5S,6R)-6-[(1S)-1,2-二羟基乙基]-3,4,5-三羟基四氢吡喃-2-基]氧基甲基]四氢吡喃-2,3,4,5-四醇
英文名 (2S,3R,4S,5S)-6-[[(2S,3S,4S,5S,6R)-6-[(1S)-1,2-Dihydroxyethyl]-3,4,5-Trihydroxyoxan-2-Yl]Oxymethyl]Oxane-2,3,4,5-Tetrol
别名 (2S,3R,4S,5S)-6-[[(2S,3S,4S,5S,6R)-6-[(1S)-1,2-Dihydroxyethyl]-3,4,5-Trihydroxy-Tetrahydropyran-2-Yl]Oxymethyl]Tetrahydropyran-2,3,4,5-Tetrol; (2S,3R,4S,5S)-6-[[(2S,3S,4S,5S,6R)-6-[(1S)-1,2-Dihydroxyethyl]-3,4,5-Trihydroxy-2-Tetrahydropyranyl]Oxymethyl]Tetrahydropyran-2,3,4,5-Tetrol; (2S,3R,4S,5S)-6-[[(2S,3S,4S,5S,6R)-6-[(1S)-1,2-Dihydroxyethyl]-3,4,5-Trihydroxy-Oxan-2-Yl]Oxymethyl]Oxane-2,3,4,5-Tetrol
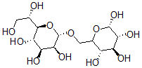
分子结构 CAS 登录号:136337-35-4, (2S,3R,4S,5S)-6-[[(2S,3S,4S,5S,6R)-6-[(1S)-1,2-二羟基乙基]-3,4,5-三羟基四氢吡喃-2-基]氧基甲基]四氢吡喃-2,3,4,5-四醇
分子式 C13H24O12
分子量 372.33
CAS 登录号 136337-35-4
分子行输入简码 SMILES [C@@H]2(O[C@H](OCC1O[C@H](O)[C@H](O)[C@@H](O)[C@@H]1O)[C@@H](O)[C@@H](O)[C@@H]2O)[C@@H](O)CO
国际化学标识码 InChI 1S/C13H24O12/c14-1-3(15)11-8(19)7(18)10(21)13(25-11)23-2-4-5(16)6(17)9(20)12(22)24-4/h3-22H,1-2H2/t3-,4?,5+,6-,7-,8-,9+,10-,11+,12-,13-/m0/s1
国际化学标识检索码 InChIKey YIJSCBWJYZFUTI-WHEGVUNZSA-N
物理化学性质
密度 1.792g/cm3 (计算值)
沸点 731.706°C at 760 mmHg (计算值)
闪点 396.322°C (计算值)
市场分析报告
请浏览(2S,3R,4S,5S)-6-[[(2S,3S,4S,5S,6R)-6-[(1S)-1,2-二羟基乙基]-3,4,5-三羟基四氢吡喃-2-基]氧基甲基]四氢吡喃-2,3,4,5-四醇市场分析报告总目录
相关产品
[(E)-4-(2-氨基-4-氧代-1H-蝶啶-6...  4-氯苯基丙烯酸酯  3-氧代丁亚基2-氯-4-硝基苯基麦芽五糖苷  N-2-氟乙基酮色林  4-氯-四氟苯硫酚  3-羟基-3-甲基丁腈  (4Z,6Z,8E)-3-羟基-N-[(2E,4E...  2,2-二苯基乙基二甲基氯化铵  均三甲苯基肼  6-[2-[4-[4,5-二羟基-3-(3,4,5...  (E)-3-巯基-3-(甲硫基)-1-苯基-丙-2...  (3-羟基苯基)苯甲酸酯  3,3-二-甲硫基-1-苯基-丙烯酮  1-甲基-1,3-二氢-吲哚-2-硫酮  3-甲基-1,2,3,4,5,6-六氢-1,6-甲...