Online Database of Chemicals from Around the World

3beta,23alpha-二羟基-5alpha-螺甾烷-26-酮 3-O-alpha-吡喃鼠李糖基 (1-2)-(alpha-吡喃鼠李糖基-(1-4))-beta-吡喃葡萄糖苷
[CAS# 137038-72-3]

供应商
CAS#: 137038-72-3
产品: 3beta,23alpha-二羟基-5alpha-螺甾烷-26-酮 3-O-alpha-吡喃鼠李糖基 (1-2)-(alpha-吡喃鼠李糖基-(1-4))-beta-吡喃葡萄糖苷
暂时没有厂家供应该产品。
基本信息
产品名称 3beta,23alpha-二羟基-5alpha-螺甾烷-26-酮 3-O-alpha-吡喃鼠李糖基 (1-2)-(alpha-吡喃鼠李糖基-(1-4))-beta-吡喃葡萄糖苷
英文名 3beta,23alpha-Dihydroxy-5alpha-Spirostan-26-One 3-O-alpha-Rhamnopyranosyl (1-2)-(alpha-Rhamnopyranosyl-(1-4))-beta-Glucopyranoside
别名 Soladulcoside B; Spirostan-26-One, 3-((O-6-Deoxy-Alpha-L-Mannopyranosyl-(1-2)-O-(6-Deoxy-Alpha-L-Mannopyranosyl-(1-4))-Beta-D-Glucopyranosyl)Oxy)-23-Hydroxy-, (3Beta,5Alpha,23S,25R)-
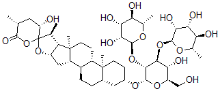
分子结构 CAS 登录号:137038-72-3, 3beta,23alpha-二羟基-5alpha-螺甾烷-26-酮 3-O-alpha-吡喃鼠李糖基 (1-2)-(alpha-吡喃鼠李糖基-(1-4))-beta-吡喃葡萄糖苷
分子式 C45H72O18
分子量 901.05
CAS 登录号 137038-72-3
分子行输入简码 SMILES [C@@H]1(CC[C@]4([C@H](C1)CC[C@H]5[C@@H]3C[C@@H]2OC6([C@H]([C@@H]2[C@@]3(C)CC[C@H]45)C)OC([C@@H](C[C@@H]6O)C)=O)C)O[C@@H]9[C@H](O[C@H]7[C@H](O)[C@H](O)[C@@H](O)[C@@H](O7)C)[C@@H](O[C@H]8[C@H](O)[C@H](O)[C@@H](O)[C@@H](O8)C)[C@H](O)[C@H](O9)CO
国际化学标识码 InChI 1S/C45H72O18/c1-17-13-28(47)45(63-39(17)55)18(2)29-26(62-45)15-25-23-8-7-21-14-22(9-11-43(21,5)24(23)10-12-44(25,29)6)58-42-38(61-41-36(54)34(52)31(49)20(4)57-41)37(32(50)27(16-46)59-42)60-40-35(53)33(51)30(48)19(3)56-40/h17-38,40-42,46-54H,7-16H2,1-6H3/t17-,18+,19+,20+,21+,22+,23-,24+,25+,26+,27-,28+,29+,30+,31+,32-,33-,34-,35-,36-,37+,38-,40+,41+,42+,43+,44+,45?/m1/s1
国际化学标识检索码 InChIKey HYJKJYCNHQELHC-FVQRPIGGSA-N
物理化学性质
密度 1.44g/cm3 (计算值)
市场分析报告
请浏览3beta,23alpha-二羟基-5alpha-螺甾烷-26-酮 3-O-alpha-吡喃鼠李糖基 (1-2)-(alpha-吡喃鼠李糖基-(1-4))-beta-吡喃葡萄糖苷市场分析报告总目录
相关产品
三氯环硼氧烷  三氟环硼氧烷  硼硫杂吡喃-2,4,6-三硫醇  绿木霉菌素 I-1B  5-[7-[5-[1,4-二羟基-4-[5-(1-...  [(2R)-1-[羟基-[2-[[3-[3-(三氟...  3-(2-乙酰氨基乙氧基)丙基-三甲基氯化铵  1,3-二甲基-7-[4-(2-硝基咪唑-1-基)...  前肾素原(63-73)  3,3-二甲基-4-苯基丁烷-2-酮  [(3S,8S,9S,10R,13R,14S,17...  溴二氟膦硫化物  二溴氟膦硫化物  苯基丁二腈  地高辛配基-11-2',3'-二脱氧尿苷5'-三磷...