Online Database of Chemicals from Around the World

49-氯-4b,50-二-O-alpha-D-甘露糖基-阿伏帕星alpha
[CAS# 137801-55-9]

供应商
CAS#: 137801-55-9
产品: 49-氯-4b,50-二-O-alpha-D-甘露糖基-阿伏帕星alpha
暂时没有厂家供应该产品。
基本信息
产品名称 49-氯-4b,50-二-O-alpha-D-甘露糖基-阿伏帕星alpha
英文名 49-Chloro-4b,50-Di-O-alpha-D-Mannopyranosyl-Avoparcin alpha
别名 Galacardin A
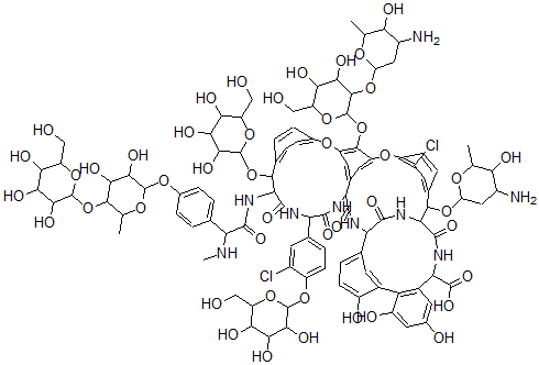
分子结构 CAS 登录号:137801-55-9, 49-氯-4b,50-二-O-alpha-D-甘露糖基-阿伏帕星alpha
分子式 C101H121Cl2N9O46
分子量 2268.01
CAS 登录号 137801-55-9
分子行输入简码 SMILES C1=C(C=C(C9=C1C(NC(C8C(C%16=CC(=C(OC2=CC7=CC(=C2OC3OC(C(C(C3OC4OC(C(C(C4)N)O)C)O)O)CO)OC5=CC=C(C=C5)C(OC6OC(C(C(C6O)O)O)CO)C(C(NC(C(NC7C(NC(C(N8)=O)C%10=CC=C(C9=C%10)O)=O)=O)C%12=CC=C(OC%11OC(C(C(C%11O)O)O)CO)C(=C%12)Cl)=O)NC(=O)C(NC)C%15=CC=C(OC%13OC(C(C(C%13O)O)OC%14OC(C(C(C%14O)O)O)CO)C)C=C%15)C=C%16)Cl)OC%17OC(C(C(C%17)N)O)C)=O)C(=O)O)O)O
国际化学标识码 InChI 1S/C101H121Cl2N9O46/c1-32-70(120)48(104)26-60(143-32)154-87-39-11-18-52(47(103)21-39)148-55-23-40-22-54(88(55)158-101-89(79(129)75(125)59(31-116)153-101)155-61-27-49(105)71(121)33(2)144-61)146-42-14-7-36(8-15-42)86(157-100-83(133)78(128)74(124)58(30-115)152-100)68(111-90(135)63(106-4)35-5-12-43(13-6-35)147-97-84(134)80(130)85(34(3)145-97)156-99-82(132)77(127)73(123)57(29-114)151-99)94(139)108-65(38-10-17-53(46(102)20-38)149-98-81(131)76(126)72(122)56(28-113)150-98)91(136)109-66(40)93(138)107-64-37-9-16-50(118)44(19-37)62-45(24-41(117)25-51(62)119)67(96(141)142)110-95(140)69(87)112-92(64)137/h5-25,32-34,48-49,56-61,63-87,89,97-101,106,113-134H,26-31,104-105H2,1-4H3,(H,107,138)(H,108,139)(H,109,136)(H,110,140)(H,111,135)(H,112,137)(H,141,142)
国际化学标识检索码 InChIKey VZHGBVYVAUUUAQ-UHFFFAOYSA-N
市场分析报告
请浏览49-氯-4b,50-二-O-alpha-D-甘露糖基-阿伏帕星alpha市场分析报告总目录
相关产品
钙钠磷酸盐  膦-D2  硫氯五氟化物  7-[(2S,3R,4R,5S,6R)-4,5-二...  甘氨酰-酪氨酰-苯丙氨酰-苯丙氨酰-苯丙氨酰-精氨...  (2R,3S,4R,5R)-2,3,4,5,6-五...  钾五氟锆酸盐  3-(5-((N-生物素基-6-氨基己酰)氨基)戊...  3-[(2S,3R,4R,5S,6R)-4,5-二...  L-苯丙氨酰-L-亮氨酰甘氨酰-L-苯丙氨酰-L-...  3-(4-甲氧基苯甲酰基)戊烷-2,4-二酮  二(十三烷-1-基)碳酸酯  二-仲-丁基草酸酯  6-乙酰基硫基-8-[2-[(4-氨基-2-甲基嘧...  5-氟-3,4-二氢-2,4-二氧代-N-(2-(...