Online Database of Chemicals from Around the World

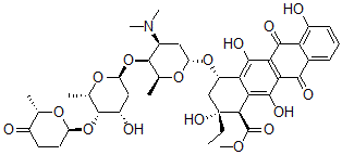
(1R,2R,4S)-4-[(2R,4S,5S,6S)-4-二甲基氨基-5-[(2S,4S,5S,6S)-4-羟基-6-甲基-5-[(2R,6S)-6-甲基-5-氧代四氢吡喃-2-基]氧基四氢吡喃-2-基]氧基-6-甲基四氢吡喃-2-基]氧基-2-乙基-2,5,7,12-四羟基-6,11-二氧代-3,4-二氢-1H-并四苯-1-羧酸甲酯
[CAS# 138636-10-9]

供应商
CAS#: 138636-10-9
产品: (1R,2R,4S)-4-[(2R,4S,5S,6S)-4-二甲基氨基-5-[(2S,4S,5S,6S)-4-羟基-6-甲基-5-[(2R,6S)-6-甲基-5-氧代四氢吡喃-2-基]氧基四氢吡喃-2-基]氧基-6-甲基四氢吡喃-2-基]氧基-2-乙基-2,5,7,12-四羟基-6,11-二氧代-3,4-二氢-1H-并四苯-1-羧酸甲酯
暂时没有厂家供应该产品。
基本信息
产品名称 (1R,2R,4S)-4-[(2R,4S,5S,6S)-4-二甲基氨基-5-[(2S,4S,5S,6S)-4-羟基-6-甲基-5-[(2R,6S)-6-甲基-5-氧代四氢吡喃-2-基]氧基四氢吡喃-2-基]氧基-6-甲基四氢吡喃-2-基]氧基-2-乙基-2,5,7,12-四羟基-6,11-二氧代-3,4-二氢-1H-并四苯-1-羧酸甲酯
英文名 Methyl (1R,2R,4S)-4-[(2R,4S,5S,6S)-4-Dimethylamino-5-[(2S,4S,5S,6S)-4-Hydroxy-6-Methyl-5-[(2R,6S)-6-Methyl-5-Oxooxan-2-Yl]Oxyoxan-2-Yl]Oxy-6-Methyloxan-2-Yl]Oxy-2-Ethyl-2,5,7,12-Tetrahydroxy-6,11-Dioxo-3,4-Dihydro-1H-Tetracene-1-Carboxylate
别名 Methyl (1R,2R,4S)-4-[(2R,4S,5S,6S)-4-Dimethylamino-5-[(2S,4S,5S,6S)-4-Hydroxy-6-Methyl-5-[(2R,6S)-6-Methyl-5-Oxo-Tetrahydropyran-2-Yl]Oxy-Tetrahydropyran-2-Yl]Oxy-6-Methyl-Tetrahydropyran-2-Yl]Oxy-2-Ethyl-2,5,7,12-Tetrahydroxy-6,11-Dioxo-3,4-Dihydro-1H-Tetracene-1-Carboxylate; (1R,2R,4S)-4-[[(2R,4S,5S,6S)-4-Dimethylamino-5-[[(2S,4S,5S,6S)-4-Hydroxy-6-Methyl-5-[[(2R,6S)-6-Methyl-5-Oxo-2-Tetrahydropyranyl]Oxy]-2-Tetrahydropyranyl]Oxy]-6-Methyl-2-Tetrahydropyranyl]Oxy]-2-Ethyl-2,5,7,12-Tetrahydroxy-6,11-Dioxo-3,4-Dihydro-1H-Tetracene-1-Carboxylic Acid Methyl Ester; (1R,2R,4S)-4-[(2R,4S,5S,6S)-4-Dimethylamino-5-[(2S,4S,5S,6S)-4-Hydroxy-5-[(2R,6S)-5-Keto-6-Methyl-Tetrahydropyran-2-Yl]Oxy-6-Methyl-Tetrahydropyran-2-Yl]Oxy-6-Methyl-Tetrahydropyran-2-Yl]Oxy-2-Ethyl-2,5,7,12-Tetrahydroxy-6,11-Diketo-3,4-Dihydro-1H-Tetracene-1-Carboxylic Acid Methyl Ester
分子结构 CAS 登录号:138636-10-9, (1R,2R,4S)-4-[(2R,4S,5S,6S)-4-二甲基氨基-5-[(2S,4S,5S,6S)-4-羟基-6-甲基-5-[(2R,6S)-6-甲基-5-氧代四氢吡喃-2-基]氧基四氢吡喃-2-基]氧基-6-甲基四氢吡喃-2-基]氧基-2-乙基-2,5,7,12-四羟基-6,11-二氧代-3,4-二氢-1H-并四苯-1-羧酸甲酯
分子式 C42H53NO16
分子量 827.88
CAS 登录号 138636-10-9
分子行输入简码 SMILES [C@H]5(C1=C(O)C7=C(C(=C1[C@@H](O[C@@H]4O[C@H]([C@@H](O[C@@H]3O[C@H]([C@@H](O[C@@H]2O[C@H](C(=O)CC2)C)[C@@H](O)C3)C)[C@@H](N(C)C)C4)C)C[C@]5(O)CC)O)C(=O)C6=C(O)C=CC=C6C7=O)C(OC)=O
国际化学标识码 InChI 1S/C42H53NO16/c1-8-42(52)16-25(30-31(34(42)41(51)53-7)38(50)32-33(37(30)49)36(48)29-20(35(32)47)10-9-11-23(29)45)57-27-14-21(43(5)6)39(18(3)55-27)59-28-15-24(46)40(19(4)56-28)58-26-13-12-22(44)17(2)54-26/h9-11,17-19,21,24-28,34,39-40,45-46,49-50,52H,8,12-16H2,1-7H3/t17-,18-,19-,21-,24-,25-,26-,27-,28-,34-,39+,40+,42+/m0/s1
国际化学标识检索码 InChIKey DGBFPZUOWZFVHF-SMUQNYKLSA-N
物理化学性质
密度 1.461g/cm3 (计算值)
沸点 884.643°C at 760 mmHg (计算值)
闪点 488.814°C (计算值)
市场分析报告
请浏览(1R,2R,4S)-4-[(2R,4S,5S,6S)-4-二甲基氨基-5-[(2S,4S,5S,6S)-4-羟基-6-甲基-5-[(2R,6S)-6-甲基-5-氧代四氢吡喃-2-基]氧基四氢吡喃-2-基]氧基-6-甲基四氢吡喃-2-基]氧基-2-乙基-2,5,7,12-四羟基-6,11-二氧代-3,4-二氢-1H-并四苯-1-羧酸甲酯市场分析报告总目录
相关产品
银叠氮化物  苯基汞辛酸盐  1-甲基十一烷基胺  3-甲基二苯基硫醚  利什曼虫肽183  N-乙基-N-(苯基硫基甲基)乙胺  (4-二苯甲基苯基)-二甲胺  普萘洛尔月桂酸酯  5-[[3-(苯基甲氧基)苯基]甲基]-1,3-二...  1-(2-羟基乙氧基甲基)-3-[[3-(苯基甲氧...  O5-甲基O3-(四氢呋喃-2-基甲基)2,6-二...  N-[(8S)-1-氮杂双环[2.2.2]辛烷-8...  [(2R,3S,4R,5R)-5-(6-氨基嘌呤-...  (2E,6E)-2-硝基壬-2,6-二烯  (E)-7-硝基癸-7-烯-1-醇