Online Database of Chemicals from Around the World

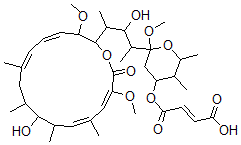
(E)-4-[2-[3-羟基-4-[(4E,6E,12E,14E)-10-羟基-3,15-二甲氧基-7,9,11,13-四甲基-16-氧代-1-氧杂环十六碳-4,6,12,14-四烯-2-基]戊烷-2-基]-2-甲氧基-5,6-二甲基四氢吡喃-4-基]氧基-4-氧代丁-2-烯酸
[CAS# 142386-69-4]

供应商
CAS#: 142386-69-4
产品: (E)-4-[2-[3-羟基-4-[(4E,6E,12E,14E)-10-羟基-3,15-二甲氧基-7,9,11,13-四甲基-16-氧代-1-氧杂环十六碳-4,6,12,14-四烯-2-基]戊烷-2-基]-2-甲氧基-5,6-二甲基四氢吡喃-4-基]氧基-4-氧代丁-2-烯酸
暂时没有厂家供应该产品。
基本信息
产品名称 (E)-4-[2-[3-羟基-4-[(4E,6E,12E,14E)-10-羟基-3,15-二甲氧基-7,9,11,13-四甲基-16-氧代-1-氧杂环十六碳-4,6,12,14-四烯-2-基]戊烷-2-基]-2-甲氧基-5,6-二甲基四氢吡喃-4-基]氧基-4-氧代丁-2-烯酸
英文名 (E)-4-[2-[3-Hydroxy-4-[(4E,6E,12E,14E)-10-Hydroxy-3,15-Dimethoxy-7,9,11,13-Tetramethyl-16-Oxo-1-Oxacyclohexadeca-4,6,12,14-Tetraen-2-Yl]Pentan-2-Yl]-2-Methoxy-5,6-Dimethyloxan-4-Yl]Oxy-4-Oxobut-2-Enoic Acid
别名 (E)-4-[2-[3-Hydroxy-4-[(4Z,6E,12E,14E)-10-Hydroxy-3,15-Dimethoxy-7,9,11,13-Tetramethyl-16-Oxo-1-Oxacyclohexadeca-4,6,12,14-Tetraen-2-Yl]Pentan-2-Yl]-2-Methoxy-5,6-Dimethyloxan-4-Yl]Oxy-4-Oxobut-2-Enoic Acid; (E)-4-[2-[2-Hydroxy-3-[(4E,6E,12E,14E)-10-Hydroxy-3,15-Dimethoxy-7,9,11,13-Tetramethyl-16-Oxo-1-Oxacyclohexadeca-4,6,12,14-Tetraen-2-Yl]-1-Methyl-Butyl]-2-Methoxy-5,6-Dimethyl-Tetrahydropyran-4-Yl]Oxy-4-Oxo-But-2-Enoic Acid; (E)-4-[2-[2-Hydroxy-3-[(4Z,6E,12E,14E)-10-Hydroxy-3,15-Dimethoxy-7,9,11,13-Tetramethyl-16-Oxo-1-Oxacyclohexadeca-4,6,12,14-Tetraen-2-Yl]-1-Methyl-Butyl]-2-Methoxy-5,6-Dimethyl-Tetrahydropyran-4-Yl]Oxy-4-Oxo-But-2-Enoic Acid
分子结构 CAS 登录号:142386-69-4, (E)-4-[2-[3-羟基-4-[(4E,6E,12E,14E)-10-羟基-3,15-二甲氧基-7,9,11,13-四甲基-16-氧代-1-氧杂环十六碳-4,6,12,14-四烯-2-基]戊烷-2-基]-2-甲氧基-5,6-二甲基四氢吡喃-4-基]氧基-4-氧代丁-2-烯酸
分子式 C38H58O12
分子量 706.87
CAS 登录号 142386-69-4
分子行输入简码 SMILES CC(C1(OC(C(C(OC(=O)\C=C\C(O)=O)C1)C)C)OC)C(O)C(C2OC(=O)C(=C\C(=C\C(C(O)C(CC(=C/C=C/C2OC)/C)C)C)C)/OC)C
国际化学标识码 InChI 1S/C38H58O12/c1-21-13-12-14-29(45-9)36(49-37(44)30(46-10)19-22(2)18-24(4)34(42)23(3)17-21)26(6)35(43)27(7)38(47-11)20-31(25(5)28(8)50-38)48-33(41)16-15-32(39)40/h12-16,18-19,23-29,31,34-36,42-43H,17,20H2,1-11H3,(H,39,40)/b14-12+,16-15+,21-13+,22-18+,30-19+
国际化学标识检索码 InChIKey ZWMTYHCJEIXKOA-SDGWHLRSSA-N
市场分析报告
请浏览(E)-4-[2-[3-羟基-4-[(4E,6E,12E,14E)-10-羟基-3,15-二甲氧基-7,9,11,13-四甲基-16-氧代-1-氧杂环十六碳-4,6,12,14-四烯-2-基]戊烷-2-基]-2-甲氧基-5,6-二甲基四氢吡喃-4-基]氧基-4-氧代丁-2-烯酸市场分析报告总目录
相关产品
4,4'-联苯基二重氮氟硼酸酯  11-(3-氨基-4-羟基-4-氧代丁酰基)-5-...  二氯二(硫脲-S)锌  雌甾-1,3,5,7,9-五烯-3,17beta-...  反式-二硝基二(乙二胺)钴  16-beta-甲基-4-孕烯-3,20-二酮  N,N'-二苄基硫脲  (2S)-2-氨基-4-(2,3-二羟基丙基氨基)...  1-环己烯基乙酸酯  乙酰唑胺钠  N-[(3S,4S,4aS,5R)-3-(二氯甲基...  (2S,4S,5R,6R)-5-乙酰氨基-2-[(...  2-[[(1R)-2-(二(羧甲基)氨基)环己基]...  三乙基膦金硝酸盐  三乙基膦金溴化物