基本信息
产品名称 |
9-丙氨酰胺-赖氨酰-加压素 |
英文名 |
9-Ala-Nh(2)-Lys-Vasopressin |
别名 |
N-[5-Amino-1-[(2-Amino-1-Methyl-2-Oxo-Ethyl)Carbamoyl]Pentyl]-1-[19-Amino-7-(2-Amino-2-Oxo-Ethyl)-10-(3-Amino-3-Oxo-Propyl)-16-[(4-Hydroxyphenyl)Methyl]-6,9,12,15,18-Pentaoxo-13-(Phenylmethyl)1,2-Dithia-5,8,11,14,17-Pentazacycloicosane-4-Carbonyl]Pyrrolidine-2-Carboxamide; N-[5-Amino-1-[[(2-Amino-1-Methyl-2-Oxoethyl)Amino]-Oxomethyl]Pentyl]-1-[[19-Amino-7-(2-Amino-2-Oxoethyl)-10-(3-Amino-3-Oxopropyl)-16-[(4-Hydroxyphenyl)Methyl]-6,9,12,15,18-Pentaoxo-13-(Phenylmethyl)-1,2-Dithia-5,8,11,14,17-Pentazacycloicos-4-Yl]-Oxomethyl]-2-Pyrrolidinecarboxamide; 1-[19-Amino-7-(2-Amino-2-Keto-Ethyl)-10-(3-Amino-3-Keto-Propyl)-13-(Benzyl)-16-(4-Hydroxybenzyl)-6,9,12,15,18-Pentaketo-1,2-Dithia-5,8,11,14,17-Pentazacycloicosane-4-Carbonyl]-N-[5-Amino-1-[(2-Amino-2-Keto-1-Methyl-Ethyl)Carbamoyl]Pentyl]Pyrrolidine-2-Carboxamide |
|
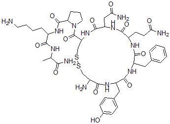
分子结构 |
 |
分子式 |
C47H67N13O12S2 |
分子量 |
1070.25 |
CAS 登录号 |
14945-17-6 |
分子行输入简码 SMILES |
C4=C(CC1NC(=O)C(N)CSSCC(NC(=O)C(NC(=O)C(NC(=O)C(NC1=O)CC2=CC=CC=C2)CCC(=O)N)CC(=O)N)C(=O)N3C(C(=O)NC(C(=O)NC(C(=O)N)C)CCCCN)CCC3)C=CC(=C4)O |
国际化学标识码 InChI |
1S/C47H67N13O12S2/c1-25(39(52)64)53-41(66)30(10-5-6-18-48)55-46(71)36-11-7-19-60(36)47(72)35-24-74-73-23-29(49)40(65)56-32(21-27-12-14-28(61)15-13-27)44(69)57-33(20-26-8-3-2-4-9-26)43(68)54-31(16-17-37(50)62)42(67)58-34(22-38(51)63)45(70)59-35/h2-4,8-9,12-15,25,29-36,61H,5-7,10-11,16-24,48-49H2,1H3,(H2,50,62)(H2,51,63)(H2,52,64)(H,53,66)(H,54,68)(H,55,71)(H,56,65)(H,57,69)(H,58,67)(H,59,70) |
国际化学标识检索码 InChIKey |
KEXFJVLUVBJIMD-UHFFFAOYSA-N |
|