Online Database of Chemicals from Around the World

苯基利福平
[CAS# 33036-09-8]

供应商
CAS#: 33036-09-8
产品: 苯基利福平
暂时没有厂家供应该产品。
基本信息
产品名称 苯基利福平
英文名 Phenylrifampin
别名 Rifamycin, 3-[[[4-(Phenylmethyl)-1-Piperazinyl]Imino]Methyl]-; Aids-014395; Aids014395
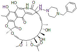
分子结构 CAS 登录号:33036-09-8, 苯基利福平
分子式 C49H62N4O12
分子量 899.05
CAS 登录号 33036-09-8
分子行输入简码 SMILES [C@H]1([C@H](O)[C@@H]([C@@H](O)[C@@H](C)\C=C\C=C(C(=O)NC4=C(O)C3=C(C2=C(O[C@](O/C=C/[C@H](OC)[C@H]([C@H]1OC(=O)C)C)(C2=O)C)C(=C3O)C)C(=O)\C4=C\NN5CCN(CC5)CC6=CC=CC=C6)\C)C)C
国际化学标识码 InChI 1S/C49H62N4O12/c1-26-14-13-15-27(2)48(61)51-39-34(24-50-53-21-19-52(20-22-53)25-33-16-11-10-12-17-33)43(58)36-37(44(39)59)42(57)31(6)46-38(36)47(60)49(8,65-46)63-23-18-35(62-9)28(3)45(64-32(7)54)30(5)41(56)29(4)40(26)55/h10-18,23-24,26,28-30,35,40-41,45,50,55-57,59H,19-22,25H2,1-9H3,(H,51,61)/b14-13+,23-18+,27-15-,34-24+/t26-,28+,29+,30+,35-,40-,41+,45+,49-/m0/s1
国际化学标识检索码 InChIKey ZFKIKNKAWFXLMY-RYIDOMIXSA-N
市场分析报告
请浏览苯基利福平市场分析报告总目录
相关产品
1-溴-2,3-二氯丙烷  N-(丁烷-2-亚基氨基)-2-甲基丙烷-2-胺  银氮烷氟化物  2-(2-羟基丙-2-基)-5-甲基环己烷-1-酮  (-)-Bruceol  3-羟基癸酸  2-[(8S,9R)-9-乙酰氧基-2-氧代-8,...  (E)-6-苯基己-3-烯-2-酮  2-(4-硝基苯基)硫基-1-苯乙酮  1,3-二溴咪唑烷-2,4-二酮  N,N'-二甲基-1-丙基咪唑-4,5-二甲酰胺  2-(2-吗啉-4-基乙基)-6-苯基-4-丙氧基...  5-甲基-2-(2-吗啉-4-基乙基)-6-苯基哒...  4-甲基-2-(2-吗啉-4-基乙基)-5,6-二...  2-(2-吗啉-4-基乙基)-4-苯基酞嗪-1-酮