基本信息
产品名称 |
N-(3-氯丙基)-N-(3-乙氧基-3-氧代丙基)-beta-丙氨酸乙酯 |
英文名 |
N-(3-Chloropropyl)-N-(3-Ethoxy-3-Oxopropyl)-beta-Alanine Ethyl Ester |
别名 |
Ethyl 3-[3-Chloropropyl-(3-Ethoxy-3-Oxo-Propyl)Amino]Propanoate; 3-[3-Chloropropyl-(3-Ethoxy-3-Oxopropyl)Amino]Propanoic Acid Ethyl Ester; 3-[3-Chloropropyl-(3-Ethoxy-3-Keto-Propyl)Amino]Propionic Acid Ethyl Ester |
|
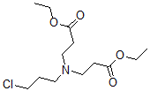
分子结构 |
 |
分子式 |
C13H24ClNO4 |
分子量 |
293.79 |
CAS 登录号 |
53935-67-4 |
分子行输入简码 SMILES |
C(Cl)CCN(CCC(=O)OCC)CCC(=O)OCC |
国际化学标识码 InChI |
1S/C13H24ClNO4/c1-3-18-12(16)6-10-15(9-5-8-14)11-7-13(17)19-4-2/h3-11H2,1-2H3 |
国际化学标识检索码 InChIKey |
RQSSPYOYPHMNPB-UHFFFAOYSA-N |
|