Online Database of Chemicals from Around the World

4-庚烷基乙酸酯
[CAS# 5921-84-6]

供应商
CAS#: 5921-84-6
产品: 4-庚烷基乙酸酯
暂时没有厂家供应该产品。
基本信息
产品名称 4-庚烷基乙酸酯
英文名 4-Heptanyl Acetate
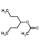
分子结构 CAS 登录号:5921-84-6, 4-庚烷基乙酸酯
分子式 C9H18O2
分子量 158.24
CAS 登录号 5921-84-6
分子行输入简码 SMILES CC(=O)OC(CCC)CCC
国际化学标识码 InChI 1S/C9H18O2/c1-4-6-9(7-5-2)11-8(3)10/h9H,4-7H2,1-3H3
国际化学标识检索码 InChIKey JPXGPRBLTIYFQG-UHFFFAOYSA-N
物理化学性质
密度 0.874g/cm3 (计算值)
沸点 170.999°C at 760 mmHg (计算值)
闪点 59.352°C (计算值)
安全数据
SDS 化学品安全技术说明书参考文本
市场分析报告
请浏览4-庚烷基乙酸酯市场分析报告总目录
相关产品
4-氟苄基氰化物  3,3-二甲基吗啉盐酸盐(1:1)  4-甲基-1-苯基-1-戊炔-3-醇  丁基氨基甲酸酯  乙基(4-氨基苯基)乙酸酯  2-氨基-4-氯苯甲醛  (5-氨基-6-甲氧基-3-吡啶基)甲醇  Amphoglucomine  4-氨基-2(1H)-吡啶硫酮  7-乙基-2-(2-甲基-2-丙基)吲哚啉  2-环戊基-7-乙基吲哚啉  7-氟-2-(2-吡啶基)吲哚啉  7-氟-2-(3-吡啶基)吲哚啉  7-氟-2-(4-吡啶基)吲哚啉  5-氟-2-肼基-N-甲基-4-嘧啶胺