Online Database of Chemicals from Around the World

微囊藻毒素Ym
[CAS# 101043-35-0]

供应商
CAS#: 101043-35-0
产品: 微囊藻毒素Ym
暂时没有厂家供应该产品。
基本信息
产品名称 微囊藻毒素Ym
英文名 Microcystin Ym
别名 8-[(4-Hydroxyphenyl)Methyl]-18-[(1E,3Z)-6-Methoxy-3,5-Dimethyl-7-Phenyl-Hepta-1,3-Dienyl]-1,5,12,19-Tetramethyl-2-Methylene-15-(2-Methylsulfanylethyl)-3,6,9,13,16,20,25-Heptaoxo-1,4,7,10,14,17,21-Heptazacyclopentacosane-11,22-Dicarboxylic Acid; 8-[(4-Hydroxyphenyl)Methyl]-18-[(1E,3Z)-6-Methoxy-3,5-Dimethyl-7-Phenylhepta-1,3-Dienyl]-1,5,12,19-Tetramethyl-2-Methylene-15-[2-(Methylthio)Ethyl]-3,6,9,13,16,20,25-Heptaoxo-1,4,7,10,14,17,21-Heptazacyclopentacosane-11,22-Dicarboxylic Acid; 8-(4-Hydroxybenzyl)-3,6,9,13,16,20,25-Heptaketo-18-[(1E,3Z)-6-Methoxy-3,5-Dimethyl-7-Phenyl-Hepta-1,3-Dienyl]-1,5,12,19-Tetramethyl-2-Methylene-15-[2-(Methylthio)Ethyl]-1,4,7,10,14,17,21-Heptazacyclopentacosane-11,22-Dicarboxylic Acid
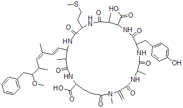
分子结构 CAS 登录号:101043-35-0, 微囊藻毒素Ym
分子式 C51H69N7O13S
分子量 1020.21
CAS 登录号 101043-35-0
分子行输入简码 SMILES C3=C(CC1NC(=O)C(NC(=O)C(N(C(=O)CCC(NC(=O)C(C(NC(=O)C(NC(=O)C(C(NC1=O)C(=O)O)C)CCSC)\C=C\C(=C/C(C(OC)CC2=CC=CC=C2)C)C)C)C(=O)O)C)=C)C)C=CC(=C3)O
国际化学标识码 InChI 1S/C51H69N7O13S/c1-28(25-29(2)41(71-8)27-34-13-11-10-12-14-34)15-20-37-30(3)44(61)55-39(50(67)68)21-22-42(60)58(7)33(6)47(64)52-32(5)46(63)56-40(26-35-16-18-36(59)19-17-35)49(66)57-43(51(69)70)31(4)45(62)54-38(23-24-72-9)48(65)53-37/h10-20,25,29-32,37-41,43,59H,6,21-24,26-27H2,1-5,7-9H3,(H,52,64)(H,53,65)(H,54,62)(H,55,61)(H,56,63)(H,57,66)(H,67,68)(H,69,70)/b20-15+,28-25-
国际化学标识检索码 InChIKey CZNWJIGJNMVYOS-ZPBRBDEFSA-N
物理化学性质
密度 1.309g/cm3 (计算值)
沸点 1339.556°C at 760 mmHg (计算值)
闪点 763.936°C (计算值)
市场分析报告
请浏览微囊藻毒素Ym市场分析报告总目录
相关产品
微囊藻毒素-Lr  1-硝基-6-亚硝基芘  秋山试剂  二-(4-氟苯基)丙炔基-N-环庚基-氨基甲酸酯  5-乙基-5-苯基-2,4-恶唑烷二酮  匹莫林  3-苯基-1,3-噻唑烷-2,4-二酮  1,3,5-三嗪-2,4,6(1H,3H,5H)-...  组胺素1  6-氧代-3,7-二甲基-嘌呤-2-醇钠  (NE)-N-(1-羟基喹啉-4-亚基)羟胺盐酸盐  1,3,5,7-四甲基四氢-2,6(1H,3H)-...  2-(二(2-乙基己基)氨基)乙醇  1,2,3,4,6,7,8,9-八氢二苯并呋喃  2,3,6,7-四氢-1H,5H-苯并(ij)喹嗪...