Online Database of Chemicals from Around the World

Gliadin Peptide Ct-2
[CAS# 102380-93-8]

供应商
CAS#: 102380-93-8
产品: Gliadin Peptide Ct-2
暂时没有厂家供应该产品。
基本信息
产品名称 Gliadin Peptide Ct-2
英文名 Gliadin Peptide Ct-2
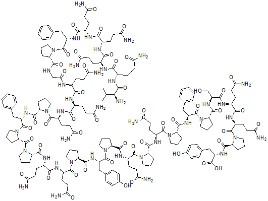
别名 Gliadin Peptide Ct-2; L-Tyrosine, L-Valyl-L-Glutaminyl-L-Glutaminyl-L-Glutaminyl-L-Glutaminyl-L-Phenylalanyl-L-Prolylglycyl-L-Glutaminyl-L-Glutaminyl-L-Glutaminyl-L-Prolyl-L-Phenylalanyl-L-Prolyl-L-Prolyl-L-Glutaminyl-L-Glutaminyl-L-Prolyl-L-Tyrosyl-L-Prolyl-L-Glutaminyl-L-Prolyl-L-Glutaminyl-L-Prolyl-L-Phenylalanyl-L-Prolyl-L-Seryl-L-Glutaminyl-L-Glutaminyl-L-Prolyl-; L-Valyl-L-Glutaminyl-L-Glutaminyl-L-Glutaminyl-L-Glutaminyl-L-Phenylalanyl-L-Prolylglycyl-L-Glutaminyl-L-Glutaminyl-L-Glutaminyl-L-Prolyl-L-Phenylalanyl-L-Prolyl-L-Prolyl-L-Glutaminyl-L-Glutaminyl-L-Prolyl-L-Tyrosyl-L-Prolyl-L-Glutaminyl-L-Prolyl-L-Glutaminyl-L-Prolyl-L-Phenylalanyl-L-Prolyl-L-Seryl-L-Glutaminyl-L-Glutaminyl-L-Prolyl-L-Tyrosine
分子结构 CAS 登录号:102380-93-8, Gliadin Peptide Ct-2
分子式 C170H238N44O48
分子量 3666.02
CAS 登录号 102380-93-8
分子行输入简码 SMILES [C@@H](N)(C(=O)N[C@H](C(=O)N[C@H](C(=O)N[C@H](C(=O)N[C@H](C(=O)N[C@H](C(=O)N%14[C@H](C(=O)NCC(=O)N[C@H](C(=O)N[C@H](C(=O)N[C@H](C(=O)N%13[C@H](C(=O)N[C@H](C(=O)N%11[C@H](C(=O)N%10[C@H](C(=O)N[C@H](C(=O)N[C@H](C(=O)N9[C@H](C(=O)N[C@H](C(=O)N7[C@H](C(=O)N[C@H](C(=O)N6[C@H](C(=O)N[C@H](C(=O)N5[C@H](C(=O)N[C@H](C(=O)N3[C@H](C(=O)N[C@H](C(=O)N[C@H](C(=O)N[C@H](C(=O)N2[C@H](C(=O)N[C@H](C(=O)O)CC1=CC=C(C=C1)O)CCC2)CCC(=O)N)CCC(=O)N)CO)CCC3)CC4=CC=CC=C4)CCC5)CCC(=O)N)CCC6)CCC(=O)N)CCC7)CC8=CC=C(C=C8)O)CCC9)CCC(=O)N)CCC(=O)N)CCC%10)CCC%11)CC%12=CC=CC=C%12)CCC%13)CCC(=O)N)CCC(=O)N)CCC(=O)N)CCC%14)CC%15=CC=CC=C%15)CCC(=O)N)CCC(=O)N)CCC(=O)N)CCC(=O)N)C(C)C
国际化学标识码 InChI 1S/C170H238N44O48/c1-89(2)140(184)159(250)193-104(53-66-133(178)225)144(235)189-99(48-61-128(173)220)142(233)188-98(47-60-127(172)219)143(234)190-102(51-64-131(176)223)148(239)199-110(82-90-22-6-3-7-23-90)165(256)205-72-12-28-116(205)150(241)185-87-139(231)186-97(46-59-126(171)218)141(232)187-100(49-62-129(174)221)145(236)194-105(54-67-134(179)226)160(251)207-74-14-31-119(207)155(246)201-112(84-92-26-10-5-11-27-92)168(259)214-81-21-37-125(214)169(260)213-80-20-36-124(213)151(242)192-103(52-65-132(177)224)147(238)196-107(56-69-136(181)228)161(252)208-75-15-32-120(208)156(247)202-113(85-93-38-42-95(216)43-39-93)167(258)211-78-18-30-118(211)153(244)198-108(57-70-137(182)229)163(254)206-73-13-29-117(206)152(243)197-109(58-71-138(183)230)164(255)209-76-16-33-121(209)154(245)200-111(83-91-24-8-4-9-25-91)166(257)212-79-19-35-123(212)158(249)204-115(88-215)149(240)191-101(50-63-130(175)222)146(237)195-106(55-68-135(180)227)162(253)210-77-17-34-122(210)157(248)203-114(170(261)262)86-94-40-44-96(217)45-41-94/h3-11,22-27,38-45,89,97-125,140,215-217H,12-21,28-37,46-88,184H2,1-2H3,(H2,171,218)(H2,172,219)(H2,173,220)(H2,174,221)(H2,175,222)(H2,176,223)(H2,177,224)(H2,178,225)(H2,179,226)(H2,180,227)(H2,181,228)(H2,182,229)(H2,183,230)(H,185,241)(H,186,231)(H,187,232)(H,188,233)(H,189,235)(H,190,234)(H,191,240)(H,192,242)(H,193,250)(H,194,236)(H,195,237)(H,196,238)(H,197,243)(H,198,244)(H,199,239)(H,200,245)(H,201,246)(H,202,247)(H,203,248)(H,204,249)(H,261,262)/t97-,98-,99-,100-,101-,102-,103-,104-,105-,106-,107-,108-,109-,110-,111-,112-,113-,114-,115-,116-,117-,118-,119-,120-,121-,122-,123-,124-,125-,140-/m0/s1
国际化学标识检索码 InChIKey MFEFEBLRSUBBEY-HHLGIXBFSA-N
市场分析报告
请浏览Gliadin Peptide Ct-2市场分析报告总目录
相关产品
Elaeocarpusin  N-[(4-氨基-2-甲基嘧啶-5-基)甲基]-N...  3-甲基-1-苯基-1,3,8-三氮杂螺[4.5]...  绣线菊碱IX  绣线菊碱IV  4-氰基-N-(4,4'-二硝基(1,1'-联苯)...  3-(N-苯基氨基)-1,2-丙烷二醇 1-油酸酯  4-(2,2-二苯基-乙基)-1H-咪唑  3,3-二甲基-1-苯基-2-苯并呋喃-1-醇  3-羧酸-哌香豆司特  1-金刚烷胺柠檬酸盐单水合物  4-氟苯基-1-亚甲基-2-(4-乙氧羰基-4-苯...  二苯甲基1-甲基哌啶-4-羧酸酯  4-苯基-1-[4-[4-(4-苯基-3,6-二氢...  1-[(4-甲基苯基)氨基甲酰]-4-苯基-哌啶-...