Online Database of Chemicals from Around the World

(2S)-2-氨基-N-[(3S,16S)-16-丁烷-2-基-5,8,15-三氧代-3-(苯基甲基)-1-硫杂-4,7,14-三氮杂环十六烷-9-基]-3-(4-羟基苯基)丙酰胺
[CAS# 103881-76-1]

供应商
CAS#: 103881-76-1
产品: (2S)-2-氨基-N-[(3S,16S)-16-丁烷-2-基-5,8,15-三氧代-3-(苯基甲基)-1-硫杂-4,7,14-三氮杂环十六烷-9-基]-3-(4-羟基苯基)丙酰胺
暂时没有厂家供应该产品。
基本信息
产品名称 (2S)-2-氨基-N-[(3S,16S)-16-丁烷-2-基-5,8,15-三氧代-3-(苯基甲基)-1-硫杂-4,7,14-三氮杂环十六烷-9-基]-3-(4-羟基苯基)丙酰胺
英文名 (2S)-2-Amino-N-[(3S,16S)-16-Butan-2-Yl-5,8,15-Trioxo-3-(Phenylmethyl)-1-Thia-4,7,14-Triazacyclohexadec-9-Yl]-3-(4-Hydroxyphenyl)Propanamide
别名 (2S)-2-Amino-3-(4-Hydroxyphenyl)-N-[(3S,16S)-5,8,15-Trioxo-3-(Phenylmethyl)-16-Sec-Butyl-1-Thia-4,7,14-Triazacyclohexadec-9-Yl]Propanamide; (2S)-2-Amino-N-[(3S,16S)-3-(Benzyl)-5,8,15-Triketo-16-Sec-Butyl-1-Thia-4,7,14-Triazacyclohexadec-9-Yl]-3-(4-Hydroxyphenyl)Propionamide; Tyrosyl-Cyclo(Lysyl-Glycyl-Phenylalanyl-Psi(Thiomethylene)Leucine)
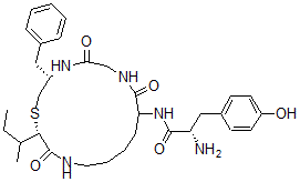
分子结构 CAS 登录号:103881-76-1, (2S)-2-氨基-N-[(3S,16S)-16-丁烷-2-基-5,8,15-三氧代-3-(苯基甲基)-1-硫杂-4,7,14-三氮杂环十六烷-9-基]-3-(4-羟基苯基)丙酰胺
分子式 C32H45N5O5S
分子量 611.80
CAS 登录号 103881-76-1
分子行输入简码 SMILES [C@H]2(SC[C@@H](NC(=O)CNC(=O)C(NC(=O)[C@@H](N)CC1=CC=C(O)C=C1)CCCCNC2=O)CC3=CC=CC=C3)C(CC)C
国际化学标识码 InChI 1S/C32H45N5O5S/c1-3-21(2)29-32(42)34-16-8-7-11-27(37-30(40)26(33)18-23-12-14-25(38)15-13-23)31(41)35-19-28(39)36-24(20-43-29)17-22-9-5-4-6-10-22/h4-6,9-10,12-15,21,24,26-27,29,38H,3,7-8,11,16-20,33H2,1-2H3,(H,34,42)(H,35,41)(H,36,39)(H,37,40)/t21?,24-,26-,27?,29-/m0/s1
国际化学标识检索码 InChIKey KMVHBOGONQSDBU-OQRJMPHZSA-N
物理化学性质
密度 1.248g/cm3 (计算值)
沸点 978.815°C at 760 mmHg (计算值)
闪点 545.768°C (计算值)
市场分析报告
请浏览(2S)-2-氨基-N-[(3S,16S)-16-丁烷-2-基-5,8,15-三氧代-3-(苯基甲基)-1-硫杂-4,7,14-三氮杂环十六烷-9-基]-3-(4-羟基苯基)丙酰胺市场分析报告总目录
相关产品
氯硼烷  4-氨基-1-[(2R,4R,5R)-3,3-二氟...  5-叠氮基阿司他丁  1-环己基-5-甲基-3-苯基-1,3-二嗪农-2...  丁二酸单(2-((1-氧代-2-丙烯基)氧基)乙基...  2-[[5-[(1E)-2,6-二甲基庚-1,5-...  alpha-[(丁基氨基)甲基]对硝基苯甲醇  2-(2,5-二甲基苯氧基)乙酰肼  N-(4-氰基-1-氧代吡啶并[6,1-b][1,...  氯特胺盐酸盐  氯特胺  (5E,8E)-十四碳-5,8-二烯酸  5-异硫氰酸基阿司他丁  丁-1-烯-3-炔-2-醇  (2R,3R)-2,3-二羟基丁二酸