Online Database of Chemicals from Around the World

凯勃孢囊菌素C2
[CAS# 105997-85-1]

供应商
CAS#: 105997-85-1
产品: 凯勃孢囊菌素C2
暂时没有厂家供应该产品。
基本信息
产品名称 凯勃孢囊菌素C2
英文名 Kibdelin C2
别名 Ristomycin A Aglycone, 5,22,31,55-Tetrachloro-7-Demethyl-64-O-Demethyl-56-O-(2-Deoxy-2-((1-Oxododecyl)Amino)-Beta-D-Glucopyranosyl)-42-O-Alpha-D-Mannopyranosyl-N15-Methyl-
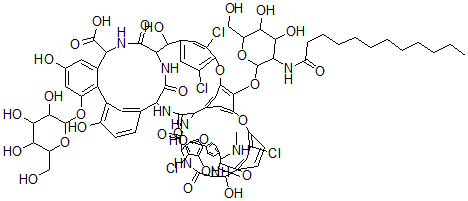
分子结构 CAS 登录号:105997-85-1, 凯勃孢囊菌素C2
分子式 C83H88Cl4N8O29
分子量 1803.46
CAS 登录号 105997-85-1
分子行输入简码 SMILES C2=C%11C(=C(OC1OC(C(O)C(O)C1O)CO)C=C2O)C3=C(O)C=CC(=C3)C%10NC(=O)C7NC(=O)C5NC(=O)C(NC(=O)C(NC)C4=CC(=C(O)C=C4)OC6=CC5=C(Cl)C(=C6)O)C(O)C%13=CC(=C(OC8=CC7=CC(=C8OC9OC(C(O)C(O)C9NC(=O)CCCCCCCCCCC)CO)OC%12=C(Cl)C=C(C(O)C(NC%10=O)C(=O)NC%11C(=O)O)C=C%12Cl)C=C%13)Cl
国际化学标识码 InChI 1S/C83H88Cl4N8O29/c1-3-4-5-6-7-8-9-10-11-12-55(102)89-65-70(107)68(105)53(30-96)122-82(65)124-74-51-24-35-25-52(74)120-73-43(85)21-36(22-44(73)86)67(104)64-80(115)93-62(81(116)117)40-26-37(98)27-50(121-83-72(109)71(108)69(106)54(31-97)123-83)56(40)39-19-32(13-16-45(39)99)59(76(111)95-64)90-77(112)60(35)91-78(113)61-41-28-38(29-47(101)57(41)87)118-49-23-33(14-17-46(49)100)58(88-2)75(110)94-63(79(114)92-61)66(103)34-15-18-48(119-51)42(84)20-34/h13-29,53-54,58-72,82-83,88,96-101,103-109H,3-12,30-31H2,1-2H3,(H,89,102)(H,90,112)(H,91,113)(H,92,114)(H,93,115)(H,94,110)(H,95,111)(H,116,117)
国际化学标识检索码 InChIKey GWYRZMPGANUJTA-UHFFFAOYSA-N
物理化学性质
密度 1.69g/cm3 (计算值)
市场分析报告
请浏览凯勃孢囊菌素C2市场分析报告总目录
相关产品
凯勃孢囊菌素D  氯胺  二(2-甲氧基乙基)己二酸酯  O-4-(乙氧基丁基)小檗胺  9-氨基-6-甲基-5,6,6a,7-四氢-4H-...  [2-[3-(乙酰氧基甲基)环氧乙烷-2-基]-5...  顺式-4-叔-丁基环己基甲醇  1-溴-2-氯-2-甲基丙烷  (2S)-N-[(2S)-1-[[(2S)-1-[...  巴豆醛缩醛  4,4-二甲氧基-1-丁烯  四锂(3E)-6-氨基-4-氧代-3-[[7-磺酸...  2-甲基-5-羟基戊酸内酯  伊曲奈德  二(6-甲基庚基)壬二酸酯