Online Database of Chemicals from Around the World

去-异亮氨酰(1)-去-天冬氨酰胺酰(2)-胡蜂蜂毒肽
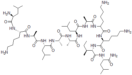
[CAS# 107048-32-8]

供应商
CAS#: 107048-32-8
产品: 去-异亮氨酰(1)-去-天冬氨酰胺酰(2)-胡蜂蜂毒肽
暂时没有厂家供应该产品。
基本信息
产品名称 去-异亮氨酰(1)-去-天冬氨酰胺酰(2)-胡蜂蜂毒肽
英文名 De-ile(1)-de-asn(2)-mastoparan
别名 (2S)-6-Amino-2-[[6-Amino-2-[[(2S)-2-[[(2S)-2-[[(2S)-2-[[(2S)-2-[[(2S)-2-[[(2S)-2-[[(2S)-6-Amino-2-[[(2S)-2-Amino-4-Methyl-Pentanoyl]Amino]Hexanoyl]Amino]Propanoyl]Amino]-4-Methyl-Pentanoyl]Amino]Propanoyl]Amino]Propanoyl]Amino]-4-Methyl-Pentanoyl]Amino]Propanoyl]Amino]Hexanoyl]Amino]-N-[(1S,2S)-1-[[(1S)-1-Carbamoyl-3-Methyl-Butyl]Carbamoyl]-2-Methyl-Butyl]Hexanamide; (2S)-6-Amino-2-[[6-Amino-2-[[(2S)-2-[[(2S)-2-[[(2S)-2-[[(2S)-2-[[(2S)-2-[[(2S)-2-[[(2S)-6-Amino-2-[[(2S)-2-Amino-4-Methyl-1-Oxopentyl]Amino]-1-Oxohexyl]Amino]-1-Oxopropyl]Amino]-4-Methyl-1-Oxopentyl]Amino]-1-Oxopropyl]Amino]-1-Oxopropyl]Amino]-4-Methyl-1-Oxopentyl]Amino]-1-Oxopropyl]Amino]-1-Oxohexyl]Amino]-N-[(1S,2S)-1-[[[(1S)-1-Carbamoyl-3-Methylbutyl]Amino]-Oxomethyl]-2-Methylbutyl]Hexanamide; (2S)-6-Amino-2-[[6-Amino-2-[[(2S)-2-[[(2S)-2-[[(2S)-2-[[(2S)-2-[[(2S)-2-[[(2S)-2-[[(2S)-6-Amino-2-[[(2S)-2-Amino-4-Methyl-Pentanoyl]Amino]Hexanoyl]Amino]Propanoyl]Amino]-4-Methyl-Pentanoyl]Amino]Propanoyl]Amino]Propanoyl]Amino]-4-Methyl-Pentanoyl]Amino]Propanoyl]Amino]Hexanoyl]Amino]-N-[(2S,3S)-1-[[(2S)-1-Amino-4-Methyl-1-Oxo-Pentan-2-Yl]Amino]-3-Methyl-1-Oxo-Pentan-2-Yl]Hexanamide
分子结构 CAS 登录号:107048-32-8, 去-异亮氨酰(1)-去-天冬氨酰胺酰(2)-胡蜂蜂毒肽
分子式 C60H114N16O12
分子量 1251.66
CAS 登录号 107048-32-8
分子行输入简码 SMILES [C@@H](NC(=O)[C@@H](NC(=O)C(NC(=O)[C@@H](NC(=O)[C@@H](NC(=O)[C@@H](NC(=O)[C@@H](NC(=O)[C@@H](NC(=O)[C@@H](NC(=O)[C@@H](NC(=O)[C@@H](N)CC(C)C)CCCCN)C)CC(C)C)C)C)CC(C)C)C)CCCCN)CCCCN)(C(=O)N[C@H](C(=O)N)CC(C)C)[C@H](CC)C
国际化学标识码 InChI 1S/C60H114N16O12/c1-15-36(10)48(60(88)73-45(49(65)77)29-33(4)5)76-57(85)44(24-18-21-27-63)72-56(84)43(23-17-20-26-62)70-51(79)39(13)69-59(87)47(31-35(8)9)74-52(80)38(12)66-50(78)37(11)68-58(86)46(30-34(6)7)75-53(81)40(14)67-55(83)42(22-16-19-25-61)71-54(82)41(64)28-32(2)3/h32-48H,15-31,61-64H2,1-14H3,(H2,65,77)(H,66,78)(H,67,83)(H,68,86)(H,69,87)(H,70,79)(H,71,82)(H,72,84)(H,73,88)(H,74,80)(H,75,81)(H,76,85)/t36-,37-,38-,39-,40-,41-,42-,43?,44-,45-,46-,47-,48-/m0/s1
国际化学标识检索码 InChIKey YMMUNCDECKRLBO-NDUJRAGXSA-N
物理化学性质
密度 1.132g/cm3 (计算值)
沸点 1492.206°C at 760 mmHg (计算值)
闪点 856.255°C (计算值)
市场分析报告
请浏览去-异亮氨酰(1)-去-天冬氨酰胺酰(2)-胡蜂蜂毒肽市场分析报告总目录
相关产品
4-(((8beta)-9,10-二去氢-6-甲基...  焦磷酸盐-二齿配位铑络合物  2-[2-(6-氨基嘌呤-9-基)亚乙基]丙烷-1...  8-氯-6-羟基辛酸乙酯  2-亚甲基己醛  二锂乙炔化物  1-[3-(4-叠氮基-3-碘苯基)丙酰]吡咯烷-...  2,2,4,4-四甲基戊烷  5beta-胆甾烷-3alpha,7alpha,2...  胆甾烷-3,7,24,26-四醇  10-[3-[4-(2-羟基乙基)哌嗪-1-基]丙...  3-氯-4-乙基苯并[E][1,2,4]噻二嗪1,...  三甲基-三甲基锡烷基硫基锡烷  2-溴乙基溴化铵  2-(2,4,4-三甲基戊烷-2-基)胍盐酸盐