Online Database of Chemicals from Around the World

沙弗拉霉素Y2B-D
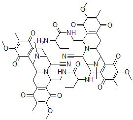
[CAS# 107163-30-4]

供应商
CAS#: 107163-30-4
产品: 沙弗拉霉素Y2B-D
暂时没有厂家供应该产品。
基本信息
产品名称 沙弗拉霉素Y2B-D
英文名 Saframycin Y 2B-D
别名 Saframycin Y2b-D; Saframycin-Y2b-D
分子结构 CAS 登录号:107163-30-4, 沙弗拉霉素Y2B-D
分子式 C60H68N10O14
分子量 1153.26
CAS 登录号 107163-30-4
分子行输入简码 SMILES C(NC(=O)C(N)CC)C9N1C(C7N(C(C1C#N)C(NC(C(=O)NCC5N2C(C3N(C(C2C#N)CC4=C3C(=O)C(=C(C4=O)C)OC)C)CC6=C5C(=O)C(=C(C6=O)C)OC)CC)C8=C7C(=O)C(=C(C8=O)C)OC)C)CC%10=C9C(=O)C(=C(C%10=O)C)OC
国际化学标识码 InChI 1S/C60H68N10O14/c1-13-29(63)59(79)64-20-37-39-27(48(72)23(4)56(82-10)52(39)76)17-33-45-42-41(50(74)25(6)58(84-12)54(42)78)43(46(68(45)8)35(19-62)70(33)37)66-30(14-2)60(80)65-21-36-38-26(47(71)22(3)55(81-9)51(38)75)16-32-44-40-28(49(73)24(5)57(83-11)53(40)77)15-31(67(44)7)34(18-61)69(32)36/h29-37,43-46,66H,13-17,20-21,63H2,1-12H3,(H,64,79)(H,65,80)
国际化学标识检索码 InChIKey ZGCGIZWQLPFXJT-UHFFFAOYSA-N
市场分析报告
请浏览沙弗拉霉素Y2B-D市场分析报告总目录
相关产品
(4-乙酰氨基-3-氧代-1,2-恶唑烷-2-基)...  6-氯-6-氧代己酸乙酯  (2S)-2-[[4-[(2-氨基-4-氧代-5,...  二氯-(2-氰基乙基)硅  2,2,5,5-四甲基己烷  4-溴-5-[(3-乙氧基-4-甲氧基苯基)甲基氨...  5-溴-N-[(1-乙基吡咯烷-2-基)甲基]-2...  5-溴-N-[[1-[(4-氟苯基)甲基]吡咯烷-...  N-[[(2S)-1-乙基吡咯烷-2-基]甲基]-...  3-溴-N-[(1-乙基吡咯烷-2-基)甲基]-6...  4-乙酰基-1-甲基-7-吡啶-4-基-5,6,7...  6-(5-氯-1-甲基-2-吡啶-3-基吲哚-3-...  丁烷-1,4-二胺  2-乙基氨基乙基硫酸氢酯  2,6-二甲基庚烷