Online Database of Chemicals from Around the World

(2S,3R,4S,5S,6R)-2-[(6E)-2,10-二羟基-2,6,10-三甲基十二碳-6,11-二烯-3-基]氧基-6-(羟基甲基)四氢吡喃-3,4,5-三醇
[CAS# 108906-50-9]

供应商
CAS#: 108906-50-9
产品: (2S,3R,4S,5S,6R)-2-[(6E)-2,10-二羟基-2,6,10-三甲基十二碳-6,11-二烯-3-基]氧基-6-(羟基甲基)四氢吡喃-3,4,5-三醇
暂时没有厂家供应该产品。
基本信息
产品名称 (2S,3R,4S,5S,6R)-2-[(6E)-2,10-二羟基-2,6,10-三甲基十二碳-6,11-二烯-3-基]氧基-6-(羟基甲基)四氢吡喃-3,4,5-三醇
英文名 (2S,3R,4S,5S,6R)-2-[(6E)-2,10-Dihydroxy-2,6,10-Trimethyldodeca-6,11-Dien-3-Yl]Oxy-6-(Hydroxymethyl)Oxane-3,4,5-Triol
别名 (2S,3R,4S,5S,6R)-2-[(4E)-8-Hydroxy-1-(1-Hydroxy-1-Methyl-Ethyl)-4,8-Dimethyl-Deca-4,9-Dienoxy]-6-(Hydroxymethyl)Tetrahydropyran-3,4,5-Triol; (2S,3R,4S,5S,6R)-2-[(4E)-8-Hydroxy-1-(1-Hydroxy-1-Methylethyl)-4,8-Dimethyldeca-4,9-Dienoxy]-6-(Hydroxymethyl)Tetrahydropyran-3,4,5-Triol; (2S,3R,4S,5S,6R)-2-[(4E)-8-Hydroxy-1-(1-Hydroxy-1-Methyl-Ethyl)-4,8-Dimethyl-Deca-4,9-Dienoxy]-6-Methylol-Tetrahydropyran-3,4,5-Triol
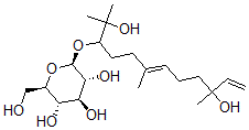
分子结构 CAS 登录号:108906-50-9, (2S,3R,4S,5S,6R)-2-[(6E)-2,10-二羟基-2,6,10-三甲基十二碳-6,11-二烯-3-基]氧基-6-(羟基甲基)四氢吡喃-3,4,5-三醇
分子式 C21H38O8
分子量 418.53
CAS 登录号 108906-50-9
分子行输入简码 SMILES [C@H]1(OC(CC\C(=C\CCC(C=C)(C)O)C)C(C)(C)O)[C@H](O)[C@@H](O)[C@H](O)[C@H](O1)CO
国际化学标识码 InChI 1S/C21H38O8/c1-6-21(5,27)11-7-8-13(2)9-10-15(20(3,4)26)29-19-18(25)17(24)16(23)14(12-22)28-19/h6,8,14-19,22-27H,1,7,9-12H2,2-5H3/b13-8+/t14-,15?,16-,17+,18-,19+,21?/m1/s1
国际化学标识检索码 InChIKey PFJDJYAPRBPXLV-LSLVLPQDSA-N
物理化学性质
密度 1.216g/cm3 (计算值)
沸点 625.348°C at 760 mmHg (计算值)
闪点 331.999°C (计算值)
市场分析报告
请浏览(2S,3R,4S,5S,6R)-2-[(6E)-2,10-二羟基-2,6,10-三甲基十二碳-6,11-二烯-3-基]氧基-6-(羟基甲基)四氢吡喃-3,4,5-三醇市场分析报告总目录
相关产品
木鞣质C  (2S)-2-[[(2S)-2-乙酰氨基-3-苯基...  (4R)-4-[(3S,7S,8R,9S,10R,...  3-[(2S,3R,4S,5R,6R)-4,5-二...  2-(3,4-二羟基苯基)-4-氧代-7-磺基氧基...  N6-(4-叠氮基-2-羟基-5-(碘-125I)...  (2S)-2-[[(2R)-2-氨基-3-硫基丙酰...  N-[2-(5-甲氧基-1H-吲哚-3-基)乙基]...  3-[(2S,4S,5R)-4-羟基-5-(羟基甲...  (2,5-二氯苯基)2-氨基甲酰氧基苯甲酸酯  2-(2-甲基丙基氨基)-1,2-二(苯基)乙醇  1-[2-[4-(4-氨基-5-羟基-6-甲基四氢...  7-(4-氨基-5-羟基-6-甲基四氢吡喃-2-基...  7-[2-(1-羟基丁烷-2-基氨基)乙基]-1,...  (2R)-6,7-二氯-5-(二甲基氨基磺酰基)-...