基本信息
| 产品名称 |
3,7,12,17-四甲基-8,13-二(1-(戊氧基)乙基)-21H,23H-卟吩-2,18-二丙酸 |
| 英文名 |
3,7,12,17-Tetramethyl-8,13-Bis(1-(Pentyloxy)Ethyl)-21H,23H-Porphine-2,18-Dipropanoic Acid |
| 别名 |
3,7,12,17-Tetramethyl-8,13-Bis(1-(Pentyloxy)Ethyl)-21H,23H-Porphine-2,18-Dipropanoic Acid; Hp-Diamyl Ether; Hematoporphyrin Dipentyl Ether |
|
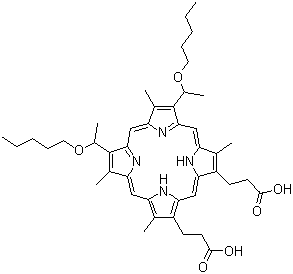
| 分子结构 |
 |
| 分子式 |
C44H58N4O6 |
| 分子量 |
738.97 |
| CAS 登录号 |
109351-24-8 |
| 分子行输入简码 SMILES |
C(C1=C(C3=NC1=CC5=NC(=CC2=C(C(=C([NH]2)C=C4[NH]C(=C3)C(=C4C)C(OCCCCC)C)C(OCCCCC)C)C)C(=C5CCC(O)=O)C)C)CC(O)=O |
| 国际化学标识码 InChI |
1S/C44H58N4O6/c1-9-11-13-19-53-29(7)43-27(5)35-21-33-25(3)31(15-17-41(49)50)37(45-33)24-38-32(16-18-42(51)52)26(4)34(46-38)22-39-44(30(8)54-20-14-12-10-2)28(6)36(48-39)23-40(43)47-35/h21-24,29-30,47-48H,9-20H2,1-8H3,(H,49,50)(H,51,52) |
| 国际化学标识检索码 InChIKey |
OTYANVOPFDTJQO-UHFFFAOYSA-N |
|