Online Database of Chemicals from Around the World

1-(1,1-二甲基乙基氨基)-3-(2-(3-(1H-吲哚-4-基)丙基)苯氧基)-2-丙醇富马酸盐
[CAS# 109920-83-4]

供应商
CAS#: 109920-83-4
产品: 1-(1,1-二甲基乙基氨基)-3-(2-(3-(1H-吲哚-4-基)丙基)苯氧基)-2-丙醇富马酸盐
暂时没有厂家供应该产品。
基本信息
产品名称 1-(1,1-二甲基乙基氨基)-3-(2-(3-(1H-吲哚-4-基)丙基)苯氧基)-2-丙醇富马酸盐
英文名 1-(1,1-Dimethylethylamino)-3-(2-(3-(1H-indol-4-yl)propyl)phenoxy)-2-propanol fumarate
别名 1-(1,1-Dimethylethylamino)-3-(2-(3-(1H-Indol-4-Yl)Propyl)Phenoxy)-2-Propanol Fumarate; 2-Propanol, 1-((1,1-Dimethylethyl)Amino)-3-(2-(3-(1H-Indol-4-Yl)Propyl)Phenoxy)-, (E)-2-Butenedioate (2:1) (Salt)
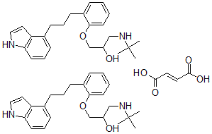
分子结构 CAS 登录号:109920-83-4, 1-(1,1-二甲基乙基氨基)-3-(2-(3-(1H-吲哚-4-基)丙基)苯氧基)-2-丙醇富马酸盐
分子式 C52H68N4O8
分子量 877.13
CAS 登录号 109920-83-4
分子行输入简码 SMILES C1=C[NH]C2=C1C(=CC=C2)CCCC3=CC=CC=C3OCC(O)CNC(C)(C)C.C4=C[NH]C5=C4C(=CC=C5)CCCC6=CC=CC=C6OCC(O)CNC(C)(C)C.O=C(O)\C=C\C(=O)O
国际化学标识码 InChI 1S/2C24H32N2O2.C4H4O4/c2*1-24(2,3)26-16-20(27)17-28-23-13-5-4-8-19(23)11-6-9-18-10-7-12-22-21(18)14-15-25-22;5-3(6)1-2-4(7)8/h2*4-5,7-8,10,12-15,20,25-27H,6,9,11,16-17H2,1-3H3;1-2H,(H,5,6)(H,7,8)/b;;2-1+
国际化学标识检索码 InChIKey SFQDJCLMNVHUCB-WXXKFALUSA-N
物理化学性质
沸点 578.9°C at 760 mmHg (计算值)
闪点 303.9°C (计算值)
市场分析报告
请浏览1-(1,1-二甲基乙基氨基)-3-(2-(3-(1H-吲哚-4-基)丙基)苯氧基)-2-丙醇富马酸盐市场分析报告总目录
相关产品
1-(2-(3-(1H-吲哚-4-基)丙基)苯氧基...  5-(丹磺酰甘氨酰-6-氨基己酰氨基丙-1-烯基)...  1-苯基-3-(哌啶-1-基甲基)吲哚  (1-苯基-2-吡咯烷-1-基乙基)4-氯苯甲酸酯...  (1-苯基-2-吡咯烷-1-基乙基)2-氯苯甲酸酯...  (5R,6R,7S,8R,8aS)-6,7,8-三...  互变霉素  1-(2-(2-羟基-3-(丙基氨基)丙氧基)苯基...  3-[(E)-2-[(1R,3aR,4R,7aR)...  2,6-二氢-6-甲基-2-beta-D-呋喃核糖...  异-异绒白乳菇醛  异-9beta-羟基异绒白乳菇醛  N-丁烷-2-基-1-(2-氯苯基)-N-(2-异...  S-(噻丙环-2-基甲基)4-氯苯硫代甲酸酯  二乙基-[2-[[4-(丙氧基羰基氨基)苯甲酰基]...