Online Database of Chemicals from Around the World

(4,4'-去氢苯丙氨酸)短杆菌肽S
[CAS# 112209-92-4]

供应商
CAS#: 112209-92-4
产品: (4,4'-去氢苯丙氨酸)短杆菌肽S
暂时没有厂家供应该产品。
基本信息
产品名称 (4,4'-去氢苯丙氨酸)短杆菌肽S
英文名 (4,4'-Dehydrophenylalanine)Gramicidin S
别名 2-((Z)-Alpha,Beta-Didehydrophenylalanine)-7-((Z)-Alpha,Beta-Didehydrophenylalanine)Gramicidin S; Gramicidin S, 2-((Z)-Alpha,Beta-Didehydrophenylalanine)-7-((Z)-Alpha,Beta-Didehydrophenylalanine)-; Phe-Gramicidin S
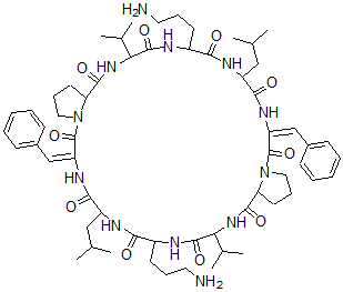
分子结构 CAS 登录号:112209-92-4, (4,4'-去氢苯丙氨酸)短杆菌肽S
分子式 C60H88N12O10
分子量 1137.43
CAS 登录号 112209-92-4
分子行输入简码 SMILES C5=C(\C=C/1NC(=O)C(NC(=O)C(NC(=O)C(NC(=O)C4N(C(=O)\C(NC(=O)C(NC(=O)C(NC(=O)C(NC(=O)C2N(C1=O)CCC2)C(C)C)CCCN)CC(C)C)=C/C3=CC=CC=C3)CCC4)C(C)C)CCCN)CC(C)C)C=CC=C5
国际化学标识码 InChI 1S/C60H88N12O10/c1-35(2)31-43-53(75)67-45(33-39-19-11-9-12-20-39)59(81)71-29-17-25-47(71)55(77)70-50(38(7)8)58(80)64-42(24-16-28-62)52(74)66-44(32-36(3)4)54(76)68-46(34-40-21-13-10-14-22-40)60(82)72-30-18-26-48(72)56(78)69-49(37(5)6)57(79)63-41(23-15-27-61)51(73)65-43/h9-14,19-22,33-38,41-44,47-50H,15-18,23-32,61-62H2,1-8H3,(H,63,79)(H,64,80)(H,65,73)(H,66,74)(H,67,75)(H,68,76)(H,69,78)(H,70,77)/b45-33+,46-34+
国际化学标识检索码 InChIKey AARKFFQQFCIDAL-NCOOAAOESA-N
物理化学性质
密度 1.257g/cm3 (计算值)
沸点 1448.18°C at 760 mmHg (计算值)
闪点 829.629°C (计算值)
市场分析报告
请浏览(4,4'-去氢苯丙氨酸)短杆菌肽S市场分析报告总目录
相关产品
N,N-二乙基-2-丁烯-1,4-二胺  N-苄氧羰基亮氨酰-亮氨酰-精氨酸-2-萘甲酰胺  N,N'-二乙基丁-2-炔-1,4-二胺  2-(2,7-二羟基-4-氧代苯并吡喃-3-基)-...  (NZ)-N-(2-甲基环己亚基)羟胺  N'-(苯甲酰基)-N'-叔丁基-4-氯苯甲酰肼  2-(2,3-二甲基吲哚并[2,3-b]喹喔啉-6...  甲酸庚酯  苯基硒基三氟甲烷磺酸酯  2,4,5-三甲基吡啶  (2S,3R)-5-氨基-3-羟基-2-(2-氧代...  (2,5-二氧代吡咯烷-1-基)4-(1-吡啶-2...  [(2R)-2,3-二(二十三烷酰基氧基)丙基]2...  N-(beta-(4-羟基-3-碘苯基)乙基)生物...  N-(4-羟基-3,5-二碘苯基乙基)生物素酰胺