Online Database of Chemicals from Around the World

(E,6R)-6-[(3S,10S,13R,14R,15S,17R)-3,15-二乙酰氧基-4,4,10,13,14-五甲基-2,3,5,6,12,15,16,17-八氢-1H-环戊二烯并[a]菲-17-基]-2-甲基庚-2-烯酸
[CAS# 112430-63-4]

供应商
CAS#: 112430-63-4
产品: (E,6R)-6-[(3S,10S,13R,14R,15S,17R)-3,15-二乙酰氧基-4,4,10,13,14-五甲基-2,3,5,6,12,15,16,17-八氢-1H-环戊二烯并[a]菲-17-基]-2-甲基庚-2-烯酸
暂时没有厂家供应该产品。
基本信息
产品名称 (E,6R)-6-[(3S,10S,13R,14R,15S,17R)-3,15-二乙酰氧基-4,4,10,13,14-五甲基-2,3,5,6,12,15,16,17-八氢-1H-环戊二烯并[a]菲-17-基]-2-甲基庚-2-烯酸
英文名 (E,6R)-6-[(3S,10S,13R,14R,15S,17R)-3,15-Diacetyloxy-4,4,10,13,14-Pentamethyl-2,3,5,6,12,15,16,17-Octahydro-1H-Cyclopenta[a]Phenanthren-17-Yl]-2-Methylhept-2-Enoic Acid
别名 (E,6R)-6-[(3S,10S,13R,14R,15S,17R)-3,15-Diacetoxy-4,4,10,13,14-Pentamethyl-2,3,5,6,12,15,16,17-Octahydro-1H-Cyclopenta[A]Phenanthren-17-Yl]-2-Methyl-Hept-2-Enoic Acid; (E,6R)-6-[(3S,10S,13R,14R,15S,17R)-3,15-Diacetoxy-4,4,10,13,14-Pentamethyl-2,3,5,6,12,15,16,17-Octahydro-1H-Cyclopenta[A]Phenanthren-17-Yl]-2-Methylhept-2-Enoic Acid; (E,6R)-6-[(3S,10S,13R,14R,15S,17R)-3,15-Diacetyloxy-4,4,10,13,14-Pentamethyl-2,3,5,6,12,15,16,17-Octahydro-1H-Cyclopenta[A]Phenanthren-17-Yl]-2-Methyl-Hept-2-Enoic Acid
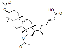
分子结构 CAS 登录号:112430-63-4, (E,6R)-6-[(3S,10S,13R,14R,15S,17R)-3,15-二乙酰氧基-4,4,10,13,14-五甲基-2,3,5,6,12,15,16,17-八氢-1H-环戊二烯并[a]菲-17-基]-2-甲基庚-2-烯酸
分子式 C34H50O6
分子量 554.77
CAS 登录号 112430-63-4
分子行输入简码 SMILES [C@@]34(C2=CCC1C([C@@H](OC(=O)C)CC[C@@]1(C2=CC[C@@]3([C@@H]([C@@H](CC\C=C(C(=O)O)/C)C)C[C@@H]4OC(=O)C)C)C)(C)C)C
国际化学标识码 InChI 1S/C34H50O6/c1-20(11-10-12-21(2)30(37)38)26-19-29(40-23(4)36)34(9)25-13-14-27-31(5,6)28(39-22(3)35)16-17-32(27,7)24(25)15-18-33(26,34)8/h12-13,15,20,26-29H,10-11,14,16-19H2,1-9H3,(H,37,38)/b21-12+/t20-,26-,27?,28+,29+,32-,33-,34-/m1/s1
国际化学标识检索码 InChIKey OTUZGGSAOMCYNC-FHWYVJHPSA-N
物理化学性质
密度 1.127g/cm3 (计算值)
沸点 633.819°C at 760 mmHg (计算值)
闪点 191.091°C (计算值)
市场分析报告
请浏览(E,6R)-6-[(3S,10S,13R,14R,15S,17R)-3,15-二乙酰氧基-4,4,10,13,14-五甲基-2,3,5,6,12,15,16,17-八氢-1H-环戊二烯并[a]菲-17-基]-2-甲基庚-2-烯酸市场分析报告总目录
相关产品
1-(2,5-二乙氧基苯基)乙酮  2-乙基-4,6-二甲基吡啶  N-环己基乙酰胺  环己基氨基甲酸酯  1-乙基-7-苯基吡咯并[2,1-b]嘧啶-4-酮  (3beta,16alpha,20beta)-3-...  (E)-十一碳-9-烯-1-醇  2,2,6,6-四甲基-1,3-二氢吡啶  2-甲硫基嘧啶-4-甲腈  二氯-三(2,4,6-三溴苯氧基)膦烷  (1Z,5E)-环癸-1,5-二烯  (1Z,6Z)-环癸-1,6-二烯  2-异氰酸丙-2-烯酸甲酯  N,N-二羟基-1-氧代吡啶-1-鎓-4-胺  (3E)-5-氨基-3-[[4-[[4-(2,4-...