基本信息
| 产品名称 |
N-(脱氧胞苷酰-(3'-5')-鸟苷-8-基)苯胺 |
| 英文名 |
N-(Deoxycytidylyl-(3'-5')-guanosin-8-yl)aniline |
| 别名 |
[(2R,3S,4R,5R)-5-[2-Amino-6-Oxo-8-(Phenylamino)-3H-Purin-9-Yl]-3,4-Dihydroxy-Tetrahydrofuran-2-Yl]Methyl [(2R,3S,5S)-5-(4-Amino-2-Oxo-Pyrimidin-1-Yl)-2-(Hydroxymethyl)Tetrahydrofuran-3-Yl] Hydrogen Phosphate; [(2R,3S,4R,5R)-5-[2-Amino-6-Oxo-8-(Phenylamino)-3H-Purin-9-Yl]-3,4-Dihydroxy-2-Tetrahydrofuranyl]Methyl [(2R,3S,5S)-5-(4-Amino-2-Oxo-1-Pyrimidinyl)-2-(Hydroxymethyl)-3-Tetrahydrofuranyl] Hydrogen Phosphate; [(2R,3S,4R,5R)-5-[2-Amino-6-Keto-8-(Phenylamino)-3H-Purin-9-Yl]-3,4-Dihydroxy-Tetrahydrofuran-2-Yl]Methyl [(2R,3S,5S)-5-(4-Amino-2-Keto-Pyrimidin-1-Yl)-2-Methylol-Tetrahydrofuran-3-Yl] Hydrogen Phosphate |
|
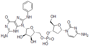
| 分子结构 |
 |
| 分子式 |
C25H30N9O11P |
| 分子量 |
663.54 |
| CAS 登录号 |
114692-54-5 |
| 分子行输入简码 SMILES |
[C@H]4(O)[C@H]([N]2C1=C(C(N=C(N1)N)=O)N=C2NC3=CC=CC=C3)O[C@@H]([C@H]4O)CO[P](O[C@@H]6[C@H](O[C@H](N5C(N=C(C=C5)N)=O)C6)CO)(=O)O |
| 国际化学标识码 InChI |
1S/C25H30N9O11P/c26-15-6-7-33(25(39)29-15)16-8-12(13(9-35)43-16)45-46(40,41)42-10-14-18(36)19(37)22(44-14)34-20-17(21(38)32-23(27)31-20)30-24(34)28-11-4-2-1-3-5-11/h1-7,12-14,16,18-19,22,35-37H,8-10H2,(H,28,30)(H,40,41)(H2,26,29,39)(H3,27,31,32,38)/t12-,13+,14+,16-,18+,19+,22+/m0/s1 |
| 国际化学标识检索码 InChIKey |
OLXWDNDFNBPOHG-VXSGUQNHSA-N |
|