Online Database of Chemicals from Around the World

gamma-前速激肽原酰胺(72-92)
[CAS# 114882-65-4]

供应商
International Laboratory Limited 美国 询价快递  
+1 (650) 278-9963
admin@intlab.org
化学品生产商(2002 年起)
基本信息
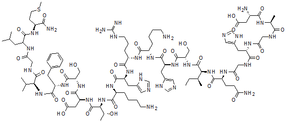
产品名称 gamma-前速激肽原酰胺(72-92)
英文名 gamma-Preprotachykinin Amide (72-92)
别名 Neuropeptide K(Pig), 3-De-L-Aspartic Acid-4-De-L-Serine-5-De-L-Serine-6-De-L-Isoleucine-7-De-L-Glutamic Acid-8-De-L-Lysine-9-De-L-Glutamine-10-De-L-Valine-11-De-L-Alanine-12-De-L-Leucine-13-De-L-Leucine-14-De-L-Lysine-15-De-L-Alanine-16-De-L-Leucine-17-De-L-Tyrosine-; Neuropeptide Gamma; G-Ppt (72-92)Nh2
分子结构 CAS 登录号:114882-65-4, gamma-前速激肽原酰胺(72-92)
分子式 C99H158N34O29S
分子量 2320.61
CAS 登录号 114882-65-4
分子行输入简码 SMILES [C@@H](C(N[C@@H](C)C(NCC(N[C@@H](CC1=CN=C[NH]1)C(NCC(N[C@H](C(N[C@H](C(N[C@H](C(N[C@@H](CC2=CN=C[NH]2)C(N[C@H](C(N[C@H](C(N[C@H](C(N[C@H](C(N[C@@H]([C@H](O)C)C(N[C@H](C(N[C@H](C(N[C@@H](CC3=CC=CC=C3)C(N[C@H](C(NCC(NC(C(N[C@@H](CCSC)C(=O)N)=O)CC(C)C)=O)=O)C(C)C)=O)=O)CO)=O)CC(=O)O)=O)=O)CCCCN)=O)CC4=CN=C[NH]4)=O)CCCNC(N)=N)=O)CCCCN)=O)=O)CO)=O)[C@H](CC)C)=O)CCC(N)=O)=O)=O)=O)=O)=O)(CC(O)=O)N
国际化学标识码 InChI 1S/C99H158N34O29S/c1-10-51(6)79(132-88(152)63(24-25-72(103)137)118-73(138)42-112-84(148)66(33-55-38-107-46-114-55)120-74(139)41-111-82(146)52(7)117-83(147)58(102)36-76(141)142)97(161)130-71(45-135)95(159)127-68(35-57-40-109-48-116-57)91(155)123-60(21-14-16-27-100)85(149)122-62(23-18-29-110-99(105)106)86(150)126-67(34-56-39-108-47-115-56)90(154)124-61(22-15-17-28-101)87(151)133-80(53(8)136)98(162)128-69(37-77(143)144)92(156)129-70(44-134)94(158)125-65(32-54-19-12-11-13-20-54)93(157)131-78(50(4)5)96(160)113-43-75(140)119-64(31-49(2)3)89(153)121-59(81(104)145)26-30-163-9/h11-13,19-20,38-40,46-53,58-71,78-80,134-136H,10,14-18,21-37,41-45,100-102H2,1-9H3,(H2,103,137)(H2,104,145)(H,107,114)(H,108,115)(H,109,116)(H,111,146)(H,112,148)(H,113,160)(H,117,147)(H,118,138)(H,119,140)(H,120,139)(H,121,153)(H,122,149)(H,123,155)(H,124,154)(H,125,158)(H,126,150)(H,127,159)(H,128,162)(H,129,156)(H,130,161)(H,131,157)(H,132,152)(H,133,151)(H,141,142)(H,143,144)(H4,105,106,110)/t51-,52-,53+,58-,59-,60-,61-,62-,63-,64?,65-,66-,67-,68-,69-,70-,71-,78-,79-,80-/m0/s1
国际化学标识检索码 InChIKey NISSWFHUIGHJLY-DKRDOARVSA-N
市场分析报告
请浏览gamma-前速激肽原酰胺(72-92)市场分析报告总目录
相关产品
1-[(1R,3R,4S)-3-羟基-4-(羟基甲...  3-[(3R,4R)-4-(3-羟基苯基)己烷-3...  15-羟基环丙孕酮乙酸酯  4-甲基-3-(2-苯基乙基)-1,2,4-恶二唑...  5-(3-羟基苯甲酰基)噻吩-2-磺酰胺  L-苯丙氨酰-L-脯氨酰-L-精氨酰-L-苯丙氨酰...  (8S,13S,14S,16R,17R)-17-羟...  3-Iodo-4-azidophenpyramin...  3-(alpha-L-阿拉伯吡喃糖基氧基)-30-...  3-(alpha-L-阿拉伯吡喃糖基氧基)-齐墩果...  2-(3-氯丙基硫基甲基)呋喃  (2R,3S,5S)-5-(4-氨基-6-氯吡咯并...  (2R,3S,5S)-5-(4-氨基吡咯并[3,2...  N-羟基-9-苯基壬酰胺  9alpha-羟基干朽菌醛