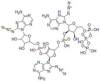
基本信息
| 产品名称 |
5'-O-三磷酰-8-叠氮基腺苷酰-(2'-5')-8-叠氮基腺苷酰-(2'-5')-8-叠氮基腺苷 |
| 英文名 |
5'-O-Triphosphoryl-8-Azidoadenylyl-(2'-5')-8-Azidoadenylyl-(2'-5')-8-Azidoadenosine |
| 别名 |
[1-[[(2R,3S,4R,5R)-5-(6-Amino-8-Azido-Purin-9-Yl)-3,4-Dihydroxy-Tetrahydrofuran-2-Yl]Methyl]-1-[(2S,3S,4R,5R)-5-(6-Amino-8,8-Diazido-7H-Purin-9-Yl)-3,4-Dihydroxy-Tetrahydrofuran-2-Yl]-2-[(2R,5R)-5-(6-Aminopurin-9-Yl)-3,4-Dihydroxy-2,5-Dihydrofuran-2-Yl]Ethyl] [Hydroxy-[Hydroxy-(Hydroxy-Phosphonooxy-Phosphoryl)Oxy-Phosphoryl]Oxy-Phosphoryl] Hydrogen Phosphate; [1-[[(2R,3S,4R,5R)-5-(6-Amino-8-Azido-9-Purinyl)-3,4-Dihydroxy-2-Tetrahydrofuranyl]Methyl]-1-[(2S,3S,4R,5R)-5-(6-Amino-8,8-Diazido-7H-Purin-9-Yl)-3,4-Dihydroxy-2-Tetrahydrofuranyl]-2-[(2R,5R)-5-(6-Amino-9-Purinyl)-3,4-Dihydroxy-2,5-Dihydrofuran-2-Yl]Ethyl] [Hydroxy-[Hydroxy-(Hydroxy-Phosphonooxyphosphoryl)Oxyphosphoryl]Oxyphosphoryl] Hydrogen Phosphate; [1-[(2R,3S,4R,5R)-5-(6-Amino-8-Azido-Purin-9-Yl)-3,4-Dihydroxy-Oxolan-2-Yl]-2-[(2S,3S,4R,5R)-5-(6-Amino-8,8-Diazido-7H-Purin-9-Yl)-3,4-Dihydroxy-Oxolan-2-Yl]-3-[(2R,5R)-5-(6-Aminopurin-9-Yl)-3,4-Dihydroxy-2,5-Dihydrofuran-2-Yl]Propan-2-Yl] [Hydroxy-[Hydroxy-(Hydroxy-Phosphonooxy-Phosphoryl)Oxy-Phosphoryl]Oxy-Phosphoryl] Hydrogen Phosphate |
|
| 分子结构 |
 |
| 分子式 |
C30H37N24O25P5 |
| 分子量 |
1288.64 |
| CAS 登录号 |
117146-01-7 |
| 分子行输入简码 SMILES |
[N+](=NC9(N([C@@H]7O[C@H](C(O[P](O[P](O[P](O[P](O[P](=O)(O)O)(=O)O)(=O)O)(=O)O)(=O)O)(C[C@H]3O[C@@H]([N]1C2=C(N=C1N=[N+]=[N-])C(=NC=N2)N)[C@H](O)[C@@H]3O)C[C@H]6O[C@@H]([N]4C5=C(N=C4)C(=NC=N5)N)C(=C6O)O)[C@@H](O)[C@H]7O)C8=NC=NC(=C8N9)N)N=[N+]=[N-])=[N-] |
| 国际化学标识码 InChI |
1S/C30H37N24O25P5/c31-19-9-22(40-3-37-19)52(6-43-9)25-15(58)12(55)7(72-25)1-29(75-81(64,65)77-83(68,69)79-84(70,71)78-82(66,67)76-80(61,62)63,2-8-13(56)16(59)26(73-8)53-23-10(20(32)38-4-41-23)44-28(53)46-49-34)18-14(57)17(60)27(74-18)54-24-11(21(33)39-5-42-24)45-30(54,47-50-35)48-51-36/h3-8,13-14,16-18,25-27,45,55-60H,1-2H2,(H,64,65)(H,66,67)(H,68,69)(H,70,71)(H2,31,37,40)(H2,32,38,41)(H2,33,39,42)(H2,61,62,63)/t7-,8-,13-,14+,16-,17-,18+,25-,26-,27-,29?/m1/s1 |
| 国际化学标识检索码 InChIKey |
NUONZANRSLHAQW-WEQVSLHESA-N |
|