基本信息
| 产品名称 |
烟曲霉毒素A2 |
| 英文名 |
Fumonisin A2 |
| 别名 |
(2R)-2-[2-[(1S,3S,10S,12R,13R)-13-Acetamido-1-[(1R,2R)-1-[(3R)-3-Carboxy-5-Hydroxy-5-Oxo-Pentanoyl]Oxy-2-Methyl-Hexyl]-10,12-Dihydroxy-3-Methyl-Tetradecoxy]-2-Oxo-Ethyl]Butanedioic Acid; (2R)-2-[2-[(1S,3S,10S,12R,13R)-13-Acetamido-1-[(1R,2R)-1-[(3R)-3-Carboxy-5-Hydroxy-1,5-Dioxopentoxy]-2-Methylhexyl]-10,12-Dihydroxy-3-Methyltetradecoxy]-2-Oxoethyl]Butanedioic Acid; (2R)-2-[2-[(1S,3S,10S,12R,13R)-13-Acetamido-1-[(1R,2R)-1-[(3R)-3-Carboxy-5-Hydroxy-5-Keto-Pentanoyl]Oxy-2-Methyl-Hexyl]-10,12-Dihydroxy-3-Methyl-Tetradecoxy]-2-Keto-Ethyl]Succinic Acid |
|
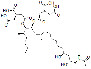
| 分子结构 |
 |
| 分子式 |
C36H61NO15 |
| 分子量 |
747.88 |
| CAS 登录号 |
117415-47-1 |
| 分子行输入简码 SMILES |
[C@H](OC(=O)C[C@H](C(=O)O)CC(=O)O)([C@@H](OC(=O)C[C@H](C(=O)O)CC(=O)O)C[C@H](CCCCCC[C@H](O)C[C@@H](O)[C@H](NC(=O)C)C)C)[C@@H](CCCC)C |
| 国际化学标识码 InChI |
1S/C36H61NO15/c1-6-7-13-22(3)34(52-33(46)19-26(36(49)50)17-31(43)44)29(51-32(45)18-25(35(47)48)16-30(41)42)15-21(2)12-10-8-9-11-14-27(39)20-28(40)23(4)37-24(5)38/h21-23,25-29,34,39-40H,6-20H2,1-5H3,(H,37,38)(H,41,42)(H,43,44)(H,47,48)(H,49,50)/t21-,22+,23+,25+,26+,27-,28+,29-,34+/m0/s1 |
| 国际化学标识检索码 InChIKey |
GQCJWFPDXATUKS-HWLZWWINSA-N |
|