Online Database of Chemicals from Around the World

2-去(乙酰基甲基氨基)-15-甲氧基-2-甲基-美登素
[CAS# 117860-08-9]

供应商
CAS#: 117860-08-9
产品: 2-去(乙酰基甲基氨基)-15-甲氧基-2-甲基-美登素
暂时没有厂家供应该产品。
基本信息
产品名称 2-去(乙酰基甲基氨基)-15-甲氧基-2-甲基-美登素
英文名 2-De(Acetylmethylamino)-15-Methoxy-2-Methyl-Maytansine
别名 Maytansine, 2'-De(Acetylmethylamino)-15-Methoxy-2'-Methyl-; 15-Ma-P3
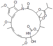
分子结构 CAS 登录号:117860-08-9, 2-去(乙酰基甲基氨基)-15-甲氧基-2-甲基-美登素
分子式 C33H45ClN2O10
分子量 665.18
CAS 登录号 117860-08-9
分子行输入简码 SMILES N3(C(=O)CC(OC(=O)C(C)C)C1(OC1C(C2OC(=O)NC(O)(C2)C(OC)\C=C\C=C(C(OC)C4=CC3=C(Cl)C(=C4)OC)/C)C)C)C
国际化学标识码 InChI 1S/C33H45ClN2O10/c1-17(2)30(38)45-25-15-26(37)36(6)21-13-20(14-22(41-7)27(21)34)28(43-9)18(3)11-10-12-24(42-8)33(40)16-23(44-31(39)35-33)19(4)29-32(25,5)46-29/h10-14,17,19,23-25,28-29,40H,15-16H2,1-9H3,(H,35,39)/b12-10+,18-11+
国际化学标识检索码 InChIKey HCVXCBYLIZAAEV-SIBNOYASSA-N
物理化学性质
密度 1.301g/cm3 (计算值)
沸点 843.523°C at 760 mmHg (计算值)
闪点 463.946°C (计算值)
市场分析报告
请浏览2-去(乙酰基甲基氨基)-15-甲氧基-2-甲基-美登素市场分析报告总目录
相关产品
6-(二甲基氨基)-9-(4-甲基苄基)-2-(三...  3-硝基萘-1,5-二磺酸  2-O-吡喃葡萄糖基葫芦素F-25-乙酸酯  氯-三(2-甲基-2-苯基丙基)锡烷  3-(2-乙酰氨基-4-氨基苯基)偶氮萘-1,5-...  N(alpha)-二甲基粪生素  二(4'-N-辛烷氧基偶氮苯-4-羧基)磷脂酰胆碱  1,1,1-三氟-4-(4-羟基苯基)丁烷-2-酮  N,N'-二(碘乙酰胺)  中位-1,2-二(4-溴苯基)乙二胺  1-(2-糠酰)吡咯烷-2-羧酸  1-(噻吩-2-羰基)-吡咯烷-2-羧酸  2-羧基-4-乙氧羰基-1-氧代-1H,5H-吡啶...  [4-[4-(2-乙基苯基)丁烷-2-基]苯基]甲...  头孢唑林delta-3-甲酯