Online Database of Chemicals from Around the World

抗菌肽A
[CAS# 118276-98-5]

供应商
CAS#: 118276-98-5
产品: 抗菌肽A
暂时没有厂家供应该产品。
基本信息
产品名称 抗菌肽A
英文名 Cecropin A
别名 Sb 37; Aids-167008; Aids167008
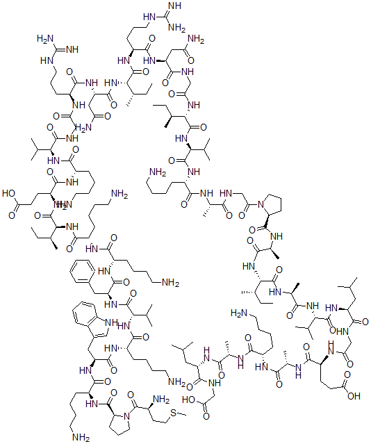
分子结构 CAS 登录号:118276-98-5, 抗菌肽A
分子式 C188H320N54O45S
分子量 4088.99
CAS 登录号 118276-98-5
分子行输入简码 SMILES [C@H](NC(=O)[C@@H](NC(=O)[C@H]1N(C(=O)[C@@H](N)CCSC)CCC1)CCCCN)(CC2=C[NH]C3=C2C=CC=C3)C(=O)N[C@H](C(=O)N[C@H](C(=O)N[C@H](C(=O)N[C@H](C(=O)N[C@H](C(=O)N[C@H](C(=O)N[C@H](C(=O)N[C@H](C(=O)N[C@H](C(=O)NCC(=O)N[C@H](C(=O)N[C@H](C(=O)N[C@H](C(=O)N[C@H](C(=O)N[C@H](C(=O)NCC(=O)N[C@H](C(=O)N[C@H](C(=O)N[C@H](C(=O)N[C@H](C(=O)NCC(=O)N4[C@H](C(=O)N[C@H](C(=O)N[C@H](C(=O)N[C@H](C(=O)N[C@H](C(=O)N[C@H](C(=O)NCC(=O)N[C@H](C(=O)N[C@H](C(=O)N[C@H](C(=O)N[C@H](C(=O)N[C@H](C(=O)NCC(=O)O)CC(C)C)C)CCCCN)C)CCC(=O)O)CC(C)C)C(C)C)C)[C@H](CC)C)C)CCC4)C)CCCCN)C(C)C)[C@H](CC)C)CC(=O)N)CCCNC(=N)N)[C@H](CC)C)CC(=O)N)CCCNC(=N)N)C(C)C)CCCCN)CCC(=O)O)[C@H](CC)C)CCCCN)CCCCN)CC5=CC=CC=C5)C(C)C)CCCCN
国际化学标识码 InChI 1S/C188H320N54O45S/c1-27-104(17)150(185(286)237-149(103(15)16)179(280)224-120(59-37-44-75-190)163(264)211-108(21)154(255)209-96-142(248)241-83-52-67-135(241)176(277)214-111(24)158(259)238-151(105(18)28-2)182(283)215-112(25)157(258)234-147(101(11)12)180(281)231-130(87-99(7)8)159(260)206-93-139(245)217-127(69-71-143(249)250)164(265)213-109(22)155(256)218-119(58-36-43-74-189)162(263)212-110(23)156(257)227-129(86-98(5)6)160(261)210-97-145(253)254)233-141(247)95-207-161(262)133(90-137(197)243)229-168(269)126(66-51-82-204-188(201)202)225-183(284)153(107(20)30-4)240-175(276)134(91-138(198)244)230-165(266)118(65-50-81-203-187(199)200)216-140(246)94-208-178(279)146(100(9)10)235-170(271)123(62-40-47-78-193)220-169(270)128(70-72-144(251)252)226-184(285)152(106(19)29-3)239-172(273)125(64-42-49-80-195)219-166(267)121(60-38-45-76-191)221-173(274)131(88-113-54-32-31-33-55-113)232-181(282)148(102(13)14)236-171(272)124(63-41-48-79-194)222-174(275)132(89-114-92-205-117-57-35-34-56-115(114)117)228-167(268)122(61-39-46-77-192)223-177(278)136-68-53-84-242(136)186(287)116(196)73-85-288-26/h31-35,54-57,92,98-112,116,118-136,146-153,205H,27-30,36-53,58-91,93-97,189-196H2,1-26H3,(H2,197,243)(H2,198,244)(H,206,260)(H,207,262)(H,208,279)(H,209,255)(H,210,261)(H,211,264)(H,212,263)(H,213,265)(H,214,277)(H,215,283)(H,216,246)(H,217,245)(H,218,256)(H,219,267)(H,220,270)(H,221,274)(H,222,275)(H,223,278)(H,224,280)(H,225,284)(H,226,285)(H,227,257)(H,228,268)(H,229,269)(H,230,266)(H,231,281)(H,232,282)(H,233,247)(H,234,258)(H,235,271)(H,236,272)(H,237,286)(H,238,259)(H,239,273)(H,240,276)(H,249,250)(H,251,252)(H,253,254)(H4,199,200,203)(H4,201,202,204)/t104-,105-,106-,107-,108-,109-,110-,111-,112-,116-,118-,119-,120-,121-,122-,123-,124-,125-,126-,127-,128-,129-,130-,131-,132-,133-,134-,135-,136-,146-,147-,148-,149-,150-,151-,152-,153-/m0/s1
国际化学标识检索码 InChIKey APWDFIKRRWAWRR-LENKVIEUSA-N
市场分析报告
请浏览抗菌肽A市场分析报告总目录
相关产品
5-氨基-6-乙氧基萘-2-磺酸  (3S,5R,10R,13R,14S,17R)-3...  倍癌霉素A  Pyrindamycin A  益康唑磺基水杨酸酯  甲基3-(2-喹啉基甲氧基)苯乙酰氧肟酸盐  二异丙基2,3-二巯基琥珀酸酯  2-氰基-3-(1,4-二氢-1-苯基-(1)-苯...  磺基烯醇丙酮酸  (4abeta,9beta,10beta)-6-甲...  2,4,8,10-四叔丁基-6-氟-12-甲基-1...  2-[5-[2-氯-4-(三氟甲基)苯氧基]-2-...  Methylbenzoprim  Ethylbenzoprim  4-三氟乙酰氨基苯基-1-O-吡喃葡萄糖基核糖醇-...