Online Database of Chemicals from Around the World

氯东方菌素E
[CAS# 118373-84-5]

供应商
CAS#: 118373-84-5
产品: 氯东方菌素E
暂时没有厂家供应该产品。
基本信息
产品名称 氯东方菌素E
英文名 Chloroorienticin E
别名 Vancomycin, 22-O-(3-Amino-2,3,6-Trideoxy-3-C-Methyl-Alpha-L-Arabino-Hexopyranosyl)-2'-O-De(3-Amino-2,3,6-Trideoxy-3-C-Methyl-Alpha-L-Arabino-Hexopyranosyl)-56-Methyl-
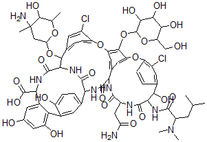
分子结构 CAS 登录号:118373-84-5, 氯东方菌素E
分子式 C67H77Cl2N9O24
分子量 1463.30
CAS 登录号 118373-84-5
分子行输入简码 SMILES C1=C8C(=C(C=C1O)O)C2=CC(=CC=C2O)C9NC(C4C3=CC(=C(C(=C3)OC5=C(C=C(C(C(NC(C(CC(C)C)N(C)C)=O)C(NC(C(N4)=O)CC(N)=O)=O)O)C=C5)Cl)OC6OC(C(O)C(C6O)O)CO)OC7=CC=C(C=C7Cl)C(C(C(NC8C(O)=O)=O)NC9=O)OC%10CC(C(O)C(O%10)C)(C)N)=O
国际化学标识码 InChI 1S/C67H77Cl2N9O24/c1-24(2)13-36(78(5)6)60(90)76-50-52(84)27-8-11-39(33(68)15-27)98-41-17-29-18-42(57(41)102-66-55(87)54(86)53(85)43(23-79)100-66)99-40-12-9-28(16-34(40)69)56(101-45-22-67(4,71)58(88)25(3)97-45)51-64(94)75-49(65(95)96)32-19-30(80)20-38(82)46(32)31-14-26(7-10-37(31)81)47(61(91)77-51)74-62(92)48(29)73-59(89)35(21-44(70)83)72-63(50)93/h7-12,14-20,24-25,35-36,43,45,47-56,58,66,79-82,84-88H,13,21-23,71H2,1-6H3,(H2,70,83)(H,72,93)(H,73,89)(H,74,92)(H,75,94)(H,76,90)(H,77,91)(H,95,96)
国际化学标识检索码 InChIKey HAKVEOXLVAZZAL-UHFFFAOYSA-N
物理化学性质
密度 1.645g/cm3 (计算值)
市场分析报告
请浏览氯东方菌素E市场分析报告总目录
相关产品
瑞香楠君  N-(N-马来酰基甘氨酰)-6-氨基-6-脱氧吡喃...  N-(N-马来酰基甘氨酰)-2-氨基-2-脱氧吡喃...  5-((2-(2-萘基甲基)-5-苯并恶唑基)甲基...  2-N-丁基-4-氯-1-(2-氯苄基)咪唑-5-...  氯东方菌素A  1,3-二丁基三氮烯  N-甲基偶氮乙胺  节球藻素  (E)-3-氨基-2-[(Z)-(3-羟基-4-氧...  2-[(3-羟基-4-硝基苯基)亚甲基]丙二腈  (2S)-2-氨基-5-[[(2R)-1-[(2-...  托司哌丁霉素6-(5'-腺苷酸)  2-氨基-4-氯-5-氟苯磺酸  6-[2-(4-甲氧基苯基)-3H-苯并咪唑-5-...