Online Database of Chemicals from Around the World

Unphenelfamycin
[CAS# 118498-90-1]

供应商
CAS#: 118498-90-1
产品: Unphenelfamycin
暂时没有厂家供应该产品。
基本信息
产品名称 Unphenelfamycin
英文名 Unphenelfamycin
别名 (2E,4E,6E)-7-[3-Hydroxy-5-[(3E,5E)-7-[[3-(3-Hydroxy-6-Methoxy-2-Methyl-Tetrahydropyran-4-Yl)Oxy-2-[2,3,4-Trihydroxy-5,5-Dimethyl-6-[(1E,3E)-Penta-1,3-Dienyl]Tetrahydropyran-2-Yl]Propanoyl]Amino]-2-Methoxy-1,3-Dimethyl-Hepta-3,5-Dienyl]Tetrahydrofuran-2-Yl]Hepta-2,4,6-Trienoic Acid; (2E,4E,6E)-7-[3-Hydroxy-5-[(3E,5E)-7-[[3-[(3-Hydroxy-6-Methoxy-2-Methyl-4-Tetrahydropyranyl)Oxy]-1-Oxo-2-[2,3,4-Trihydroxy-5,5-Dimethyl-6-[(1E,3E)-Penta-1,3-Dienyl]-2-Tetrahydropyranyl]Propyl]Amino]-2-Methoxy-1,3-Dimethylhepta-3,5-Dienyl]-2-Tetrahydrofuranyl]Hepta-2,4,6-Trienoic Acid; (2E,4E,6E)-7-[3-Hydroxy-5-[(4E,6E)-8-[[3-(3-Hydroxy-6-Methoxy-2-Methyl-Oxan-4-Yl)Oxy-2-[2,3,4-Trihydroxy-5,5-Dimethyl-6-[(1E,3E)-Penta-1,3-Dienyl]Oxan-2-Yl]Propanoyl]Amino]-3-Methoxy-4-Methyl-Octa-4,6-Dien-2-Yl]Oxolan-2-Yl]Hepta-2,4,6-Trienoic Acid
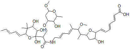
分子结构 CAS 登录号:118498-90-1, Unphenelfamycin
分子式 C43H65NO14
分子量 819.98
CAS 登录号 118498-90-1
分子行输入简码 SMILES C(OC1C(O)C(OC(OC)C1)C)C(C2(OC(C(C(O)C2O)(C)C)\C=C\C=C\C)O)C(=O)NC\C=C\C=C(C(OC)C(C3OC(C(O)C3)\C=C\C=C\C=C\C(=O)O)C)/C
国际化学标识码 InChI 1S/C43H65NO14/c1-9-10-13-20-34-42(5,6)39(49)40(50)43(52,58-34)29(25-55-33-24-36(53-7)56-28(4)37(33)48)41(51)44-22-17-16-18-26(2)38(54-8)27(3)32-23-30(45)31(57-32)19-14-11-12-15-21-35(46)47/h9-21,27-34,36-40,45,48-50,52H,22-25H2,1-8H3,(H,44,51)(H,46,47)/b10-9+,12-11+,17-16+,19-14+,20-13+,21-15+,26-18+
国际化学标识检索码 InChIKey HNIKNQLZTDKDEB-JVSQKCCUSA-N
市场分析报告
请浏览Unphenelfamycin市场分析报告总目录
相关产品
芬尼法霉素A  芬尼法霉素B  芬尼法霉素C  7,8,10-三羟基-7,8,9,10-四氢苯并[...  3,4-二甲基己烷-3,4-二醇  7-[(3-氨基苯甲酰)氨基]-4-羟基萘-2-磺...  1,1,2,2-四氯乙烷磺酸苯基氯化物  二氟-二硝基甲烷  2-((3-beta,5R,6-beta)-3-(...  聚(N-异丙基丙烯酰胺-N-n-丁基丙烯酰胺-N-...  4-(4-溴苯基偶氮)二苯胺  3-(4-氯苯基)-1-[4-[4-氧代-2-(苯...  2-乙基-2-甲基己酸钠  2,2-二甲基丁烷-1-醇  [(2S)-2-(3-甲氧基戊烷-3-基)吡咯烷-...