Online Database of Chemicals from Around the World

L671329
[CAS# 120300-08-5]

供应商
International Laboratory Limited 美国 询价快递  
+1 (650) 278-9963
admin@intlab.org
化学品生产商(2002 年起)
基本信息
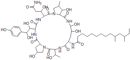
产品名称 L671329
英文名 L 671329
别名 Antibiotic L 671329
分子结构 CAS 登录号:120300-08-5, L671329
分子式 C51H82N8O17
分子量 1079.25
CAS 登录号 120300-08-5
分子行输入简码 SMILES C4=C(C(O)C(O)C1NC(=O)C3N(C(=O)C(NC(=O)C(NC(=O)CCCCCCCCC(CC(CC)C)C)CC(O)C(O)NC(=O)C2N(C(=O)C(NC1=O)C(O)CC(=O)N)CC(C2O)C)C(O)C)CC(O)C3)C=CC(=C4)O
国际化学标识码 InChI 1S/C51H82N8O17/c1-6-25(2)19-26(3)13-11-9-7-8-10-12-14-37(66)53-32-21-35(64)47(72)57-49(74)41-42(67)27(4)23-59(41)51(76)39(34(63)22-36(52)65)55-48(73)40(44(69)43(68)29-15-17-30(61)18-16-29)56-46(71)33-20-31(62)24-58(33)50(75)38(28(5)60)54-45(32)70/h15-18,25-28,31-35,38-44,47,60-64,67-69,72H,6-14,19-24H2,1-5H3,(H2,52,65)(H,53,66)(H,54,70)(H,55,73)(H,56,71)(H,57,74)
国际化学标识检索码 InChIKey DFQUSLQYURJBIT-UHFFFAOYSA-N
物理化学性质
密度 1.399g/cm3 (计算值)
沸点 1436.947°C at 760 mmHg (计算值)
闪点 822.836°C (计算值)
市场分析报告
请浏览L671329市场分析报告总目录
相关产品
[(2S,3S,5S,10S,13S,17R)-3...  2-(6-硝基-1H-吲哚-3-基)乙醇  N-乙酰基-精氨酸(8)-加压素  2-(1-亚硝基吲哚-3-基)乙醇  氧化钛镧  镧硒化物  氧化锂镍  1,1,2,3,3-五甲基-2H-茚  镥磷化物  钛酸镁  二镁钛四氧化物  铌酸锰  钛酸锰  锰磷化物  锑化锰