Online Database of Chemicals from Around the World

三异丙基鏻四氟硼酸盐
[CAS# 121099-07-8]

供应商
Achemica 瑞士 询价快递  
+41 (24) 466-2929
contact@achemica.com
化学品生产商(2010 年起)
Dalchem 俄罗斯 询价快递  
+7 (8312) 753-772
dregichy@dalchem.com
化学品生产商(1997 年起)
Digital Specialty Chemicals, Inc. 美国 询价快递  
+1 (603) 563-5060
sales@digitalchem.com
化学品生产商(1987 年起)
International Laboratory Limited 美国 询价快递  
+1 (650) 278-9963
admin@intlab.org
化学品生产商(2002 年起)
SynQuest Labs, Inc. 美国 询价快递  
+1 (386) 462-0788
info@synquestlabs.com
化学品生产商
基本信息
产品分类 有机原料 >> 有机膦化合物
产品名称 三异丙基鏻四氟硼酸盐
英文名 Triisopropylphosphonium Tetrafluoroborate
别名 MFCD06796644; Triisopropylphosphonium tetrafluoroborate
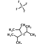
分子结构 CAS 登录号:121099-07-8, 三异丙基鏻四氟硼酸盐
分子式 C9H22BF4P
分子量 248.05
CAS 登录号 121099-07-8
分子行输入简码 SMILES F[B-](F)(F)F.[PH+](C(C)C)(C(C)C)C(C)C
国际化学标识码 InChI 1S/C9H21P.BF4/c1-7(2)10(8(3)4)9(5)6;2-1(3,4)5/h7-9H,1-6H3;/q;-1/p+1
国际化学标识检索码 InChIKey KGBIZABAOCDZNU-UHFFFAOYSA-O
物理化学性质
折射率 (计算值)
安全数据
安全说明 Irritant
R36/37/38
S22,S24/25,S26,S28,S36/37/39,S45
SDS 化学品安全技术说明书参考文本
市场分析报告
请浏览三异丙基鏻四氟硼酸盐市场分析报告总目录
相关产品
2-甲基-2-丙基2-(2-羟基乙基)肼羧酸酯  2-甲基-2-丙基[2-(氨基氧基)丁基]氨基甲酸...  2-甲基-2-丙基[(2S)-2-(氨基氧基)丁基...  2-甲基-2-丙基[(2R)-2-(氨基氧基)丁基...  (4R,5S)-4-异丙基-5-甲基-1,3-二恶...  氯(二苯基)甲基鎓六氯锑酸盐(1-)  N-甲基-N,N-二辛基-1-辛烷铵三氟甲烷磺酸盐  (6Z,9Z,11E,13S)-13-氢过氧基-6...  7-(1-羟基环戊基)庚烷腈  己糖吡喃糖苷-(1->3)-[己糖吡喃糖苷-(1-...  2-(3-甲基苯基)-1,3-苯并噻唑  1-(2-异丙基-3-甲基-2-环丙烯-1-基)乙...  (2S,3aR,6aR)-八氢环戊烯并[b]吡咯-...  1,3-环戊二烯-1-基(乙基)锰-甲烷(1:3)  (2R)-1,1,1-三氟-2-辛醇