Online Database of Chemicals from Around the World

刺楸皂素C
[CAS# 121449-76-1]

供应商
CAS#: 121449-76-1
产品: 刺楸皂素C
暂时没有厂家供应该产品。
基本信息
产品名称 刺楸皂素C
英文名 Kalopanax Saponin C
别名 [6-[[3,4-Dihydroxy-6-(Hydroxymethyl)-5-(3,4,5-Trihydroxy-6-Methyl-Tetrahydropyran-2-Yl)Oxy-Tetrahydropyran-2-Yl]Oxymethyl]-3,4,5-Trihydroxy-Tetrahydropyran-2-Yl] 10-[3-[3,5-Dihydroxy-6-Methyl-4-[3,4,5-Trihydroxy-6-(Hydroxymethyl)Tetrahydropyran-2-Yl]Oxy-Tetrahydropyran-2-Yl]Oxy-4,5-Dihydroxy-Tetrahydropyran-2-Yl]Oxy-9-(Hydroxymethyl)-2,2,6A,6B,9,12A-Hexamethyl-1,3,4,5,6,6A,7,8,8A,10,11,12,13,14B-Tetradecahydropicene-4A-Carboxylate; 10-[[3-[[3,5-Dihydroxy-6-Methyl-4-[[3,4,5-Trihydroxy-6-(Hydroxymethyl)-2-Tetrahydropyranyl]Oxy]-2-Tetrahydropyranyl]Oxy]-4,5-Dihydroxy-2-Tetrahydropyranyl]Oxy]-9-(Hydroxymethyl)-2,2,6A,6B,9,12A-Hexamethyl-1,3,4,5,6,6A,7,8,8A,10,11,12,13,14B-Tetradecahydropicene-4A-Carboxylic Acid [6-[[3,4-Dihydroxy-6-(Hydroxymethyl)-5-[(3,4,5-Trihydroxy-6-Methyl-2-Tetrahydropyranyl)Oxy]-2-Tetrahydropyranyl]Oxymethyl]-3,4,5-Trihydroxy-2-Tetrahydropyranyl] Ester; 10-[3-[3,5-Dihydroxy-6-Methyl-4-(3,4,5-Trihydroxy-6-Methylol-Tetrahydropyran-2-Yl)Oxy-Tetrahydropyran-2-Yl]Oxy-4,5-Dihydroxy-Tetrahydropyran-2-Yl]Oxy-2,2,6A,6B,9,12A-Hexamethyl-9-Methylol-1,3,4,5,6,6A,7,8,8A,10,11,12,13,14B-Tetradecahydropicene-4A-Carboxylic Acid [6-[[3,4-Dihydroxy-6-Methylol-5-(3,4,5-Trihydroxy-6-Methyl-Tetrahydropyran-2-Yl)Oxy-Tetrahydropyran-2-Yl]Oxymethyl]-3,4,5-Trihydroxy-Tetrahydropyran-2-Yl] Ester
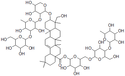
分子结构 CAS 登录号:121449-76-1, 刺楸皂素C
分子式 C65H106O31
分子量 1383.53
CAS 登录号 121449-76-1
分子行输入简码 SMILES C(OC1C(C(O)C(C(O1)CO)OC2C(C(O)C(C(O2)C)O)O)O)C%11C(O)C(C(C(OC(C9%10CCC4(C(=CCC5C3(CCC(C(C3CCC45C)(CO)C)OC8C(OC7C(C(OC6C(C(O)C(C(O6)CO)O)O)C(C(O7)C)O)O)C(O)C(CO8)O)C)C9CC(C)(C)CC%10)C)=O)O%11)O)O
国际化学标识码 InChI 1S/C65H106O31/c1-25-36(70)41(75)45(79)54(87-25)93-50-31(21-67)90-53(48(82)44(50)78)86-23-32-40(74)43(77)47(81)56(91-32)96-59(84)65-17-15-60(3,4)19-28(65)27-9-10-34-61(5)13-12-35(62(6,24-68)33(61)11-14-64(34,8)63(27,7)16-18-65)92-58-52(38(72)29(69)22-85-58)95-57-49(83)51(37(71)26(2)88-57)94-55-46(80)42(76)39(73)30(20-66)89-55/h9,25-26,28-58,66-83H,10-24H2,1-8H3
国际化学标识检索码 InChIKey SDOYPCMINZZTMA-UHFFFAOYSA-N
物理化学性质
密度 1.533g/cm3 (计算值)
市场分析报告
请浏览刺楸皂素C市场分析报告总目录
相关产品
[(1R)-2-[(1R,2S,4aS,4bS,8...  多氟脲  2-二乙基氨基-5-苯基-1,3-恶唑-4-酮  4-辛基-4'-氰基联苯  3-氨基-6-氯-N-(二氨基亚甲基)-5-二甲基...  3,5-二磺基苯甲酸  (二乙基膦基)二甲基铟  N-[(E)-4-[3-(4-氯苯氧基)苯基]丁-...  O3-[2-[(4-氟苯基)甲基-甲基氨基]乙基]...  2-(3-氨基丙基)-1-[[(2E)-2-[(N...  [(2R)-3-膦酰氧基-2-(6-芘-1-基己酰...  2-(4-二乙基氨基-2-羟基苯基)-4-(4-二...  (3aR,5R,6S,7R,7aR)-6-氟-5-...  2-甲基丁-3-烯-2-基(E)-3-(3,4-二...  [(2R,3S,4R,5R)-4,5-二羟基-2-...